You have n binary tree nodes numbered from 0 to n - 1 where node i has two children leftChild[i] and rightChild[i], return true if and only if all the given nodes form exactly one valid binary tree.
If node i has no left child then leftChild[i] will equal -1, similarly for the right child.
Note that the nodes have no values and that we only use the node numbers in this problem.
Example 1:

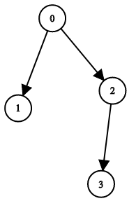
Input: n = 4, leftChild = [1,-1,3,-1], rightChild = [2,-1,-1,-1]Output: true
Example 2:

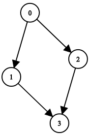
Input: n = 4, leftChild = [1,-1,3,-1], rightChild = [2,3,-1,-1]Output: false
Example 3:

Input: n = 2, leftChild = [1,0], rightChild = [-1,-1]Output: false
Example 4:

Input: n = 6, leftChild = [1,-1,-1,4,-1,-1], rightChild = [2,-1,-1,5,-1,-1]Output: false
Constraints:
1 <= n <= 10^4leftChild.length == rightChild.length == n-1 <= leftChild[i], rightChild[i] <= n - 1
题意
给定n个结点以及每个结点对应的左右子树信息,判断这些结点构成的图是否是一个有效的二叉树。
思路
若一个图满足以下三个要求,就是一个有效的二叉树:
- 有且仅有一个结点的入度为0;
- 所有结点的入度最大为1;
- 所有结点的出度最大为2(题目本身就满足)。
代码实现
class Solution {public boolean validateBinaryTreeNodes(int n, int[] leftChild, int[] rightChild) {int[] in = new int[n];// 生成入度数组for (int i = 0; i < n; i++) {if (leftChild[i] != -1) {in[leftChild[i]]++;}if (rightChild[i] != -1) {in[rightChild[i]]++;}}int count = 0;for (int i = 0; i < n; i++) {// 判断最大入度数if (in[i] > 1) {return false;}// 统计入度为0的结点数if (in[i] == 0) {count++;}}if (count != 1) {return false;}return true;}}
