题目
A linked list is given such that each node contains an additional random pointer which could point to any node in the list or null.
Return a deep copy of the list.
The Linked List is represented in the input/output as a list of n nodes. Each node is represented as a pair of [val, random_index] where:
val: an integer representingNode.valrandom_index: the index of the node (range from0ton-1) where random pointer points to, ornullif it does not point to any node.
Example 1:
Input: head = [[7,null],[13,0],[11,4],[10,2],[1,0]]Output: [[7,null],[13,0],[11,4],[10,2],[1,0]]
Example 2:
Input: head = [[1,1],[2,1]]Output: [[1,1],[2,1]]
Example 3:
**
Input: head = [[3,null],[3,0],[3,null]]Output: [[3,null],[3,0],[3,null]]
Example 4:
Input: head = []Output: []Explanation: Given linked list is empty (null pointer), so return null.
Constraints:
-10000 <= Node.val <= 10000Node.randomis null or pointing to a node in the linked list.- Number of Nodes will not exceed 1000.
题意
给定一个链表,该链表中有next和random两个域,next指向链表的下一个结点,random指向链表中随机一个结点或为null。要求返回该链表的一个深拷贝。
思路
拷贝next容易,难在拷贝random。问题的关键在于如何建立新旧链表对应结点之间的关系。
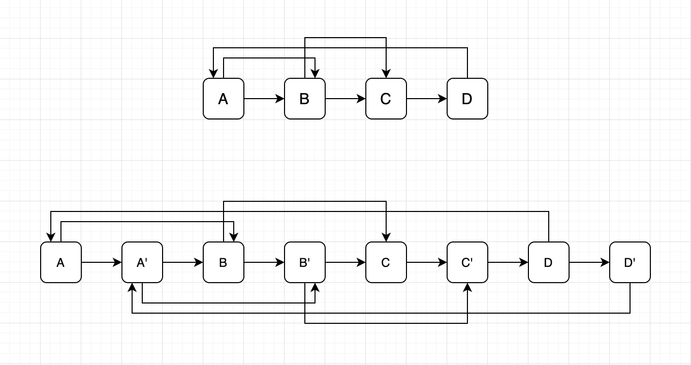
一种非常巧妙地方法是,每次拷贝一个结点A’后,将其插入到旧链表对应结点A之后,以此建立对应关系A->A’,即A.next = A'。如果有A.random = B,且A'.random = B',根据之前建立的对应关系还能得到B.next = B',所以很容易发现A'.random = A.random.next。拷贝完所有的random后,只要再将新旧链表拆分出来即可。
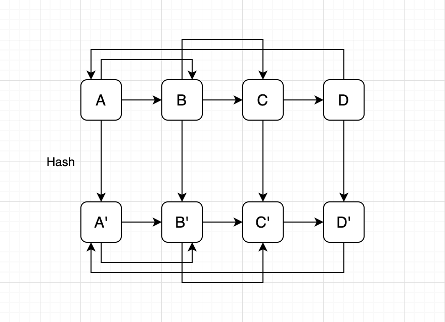
也可以使用HashMap来绑定新旧结点,这样更加直观一点。
代码实现
Java
链表交叉
class Solution {public Node copyRandomList(Node head) {// 将新结点交叉插入到旧链表中Node p = head;while (p != null) {Node temp = new Node(p.val);temp.next = p.next;p.next = temp;p = temp.next;}// 生成新链表的random域p = head;while (p != null) {Node q = p.next;q.random = p.random == null ? null : p.random.next; // null单独处理p = q.next;}// 拆分新旧链表p = head;Node dummy = new Node(0);Node cur = dummy;while (p != null) {cur.next = p.next;cur = cur.next;p.next = cur.next;p = p.next;cur.next = null;}return dummy.next;}}
Hash
class Solution {public Node copyRandomList(Node head) {Map<Node, Node> hash = new HashMap<>();Node p = head;Node dummy = new Node(0);Node cur = dummy;// 生成hash对应关系while (p != null) {cur.next = new Node(p.val);cur = cur.next;hash.put(p, cur);p = p.next;}// 根据对应关系生成新链表的random域p = head;while (p != null) {hash.get(p).random = p.random == null ? null : hash.get(p.random); // null单独处理p = p.next;}return dummy.next;}}
JavaScript
/*** @param {Node} head* @return {Node}*/var copyRandomList = function (head) {let p = headwhile (p) {p.next = new Node(p.val, p.next, null)p = p.next.next}p = headwhile (p) {p.next.random = p.random ? p.random.next : nullp = p.next.next}const dummy = new Node(0, null, null)p = dummywhile (head) {p.next = head.nextp = p.nexthead.next = head.next.nexthead = head.next}return dummy.next}
