对坐标的曲线积分的概念与性质

对坐标的曲线积分的概念

在有向曲线弧L上对坐标x的曲线积分
image.png
在有向曲线弧L上对坐标y的曲线积分
image.png
以上两类曲线积分统称对坐标的曲线积分,即第二类曲线积分

对坐标的曲线积分的性质

略(同第一类)

对坐标的曲线积分的计算法

参数方程

对于参数方程为
image.png
的曲线,其第二类曲线积分的计算法为
image.png

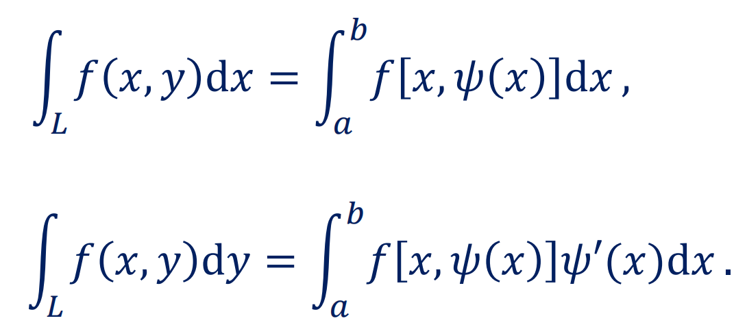
一般方程

对于一般方程为
image.png
的曲线,其第二类曲线积分的计算法为
image.png

两类曲线积分的联系

image.png
其中
image.png为曲线在(x,y)处的单位切向量