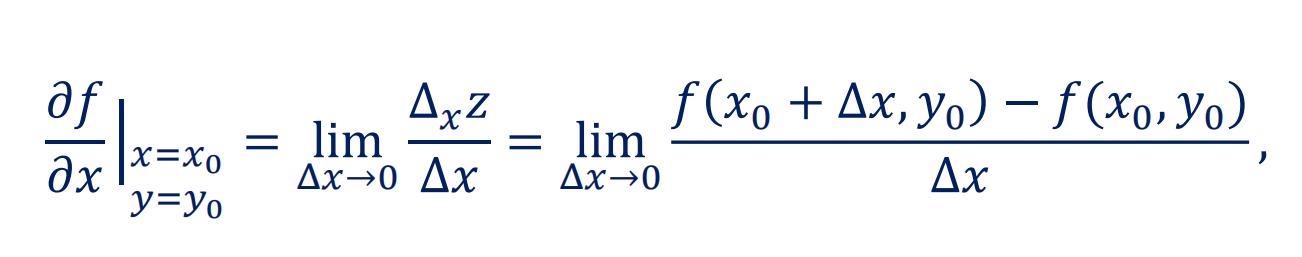
偏导数的定义及其计算偏导数的定义偏导数的计算方法高阶偏导数高阶偏导数的性质 偏导数的定义及其计算 偏导数的定义对于存在,则称此为该函数在(x0,y0)处对x的偏导数也可以记作f(x0,y0)如果对于定义域D的任意一点偏导均存在,则可以定义f(x,y) 偏导数的计算方法求导时,把不被求导的自变量当做常数处理即可偏导数记号应当看做整体处理,不可拆分 高阶偏导数 高阶偏导数的性质如果高阶混合偏导数均连续,则高阶偏导数的求导结果与求导顺序无关**