齐次函数

如果对于确定的k,有image.png对任意t成立,则称齐次方程 - 图2为k阶齐次函数
image.png

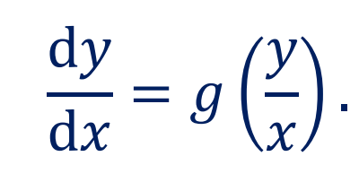
齐次方程定义

齐次方程 - 图4为0阶齐次函数,则可以化成如下形式的微分方程
image.png(也可以写作image.png
可称之为齐次方程

齐次方程的解

image.png,则有image.png,因此原方程可以写作
image.png
即化为了可以分离变量的微分方程。