一阶线性微分方程
定义
形如
或
的方程
称为一阶线性微分方程
如果则称为齐次的;如果
≠0则称为非齐次的。
令非齐次一阶线性微分方程中=0,则所得的方程称为其对应的齐次线性方程。
线性方程的解
对于齐次线性方程,其通解为
对于非齐次线性方程,设常数C为函数C(x),则可以解得
将所得函数带回到齐次线性方程的通解中即可得到非齐次线性方程的通解
伯努利方程
定义
伯努利方程的解
方程两端同时除以
,则可以得到
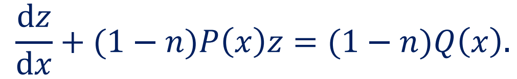
设
,则有
由此可以得到线性方程并求出通解:
求解后将y带回z即可得到原方程通解
称为伯努利方程
