空间曲线

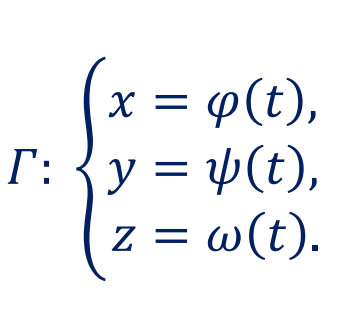
参数方程形式
image.png
一般方程形式
image.png

切线方程

参数方程

image.png

一般方程

切向量为image.png
则使用点向式即可求出切线方程

法平面方程

参数方程

image.png

一般方程

切向量T作为平面的法向量,使用点法式即可

曲面

隐式方程
image.png
显式方程
image.png

切平面

隐式

image.png

显式

根据显式方程求出法向量image.png
根据点法式可以求出平面方程

法线

隐式

image.png

显式

法向量n作为曲线的切向量,用点向式即可求出法线方程