斯托克斯公式

对于以空间有向闭曲线为边界的光滑有向曲面,有
image.png
其中曲面的上侧与边界曲线的正方向满足右手螺旋

环流量与旋度

对于向量场image.png
旋度
image.png
由此可得关于向量场A的环流量
image.png
其中t为该处曲线的单位切向量,n为该处曲面的单位法向量

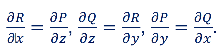
空间曲线积分与路径无关的条件

对于空间曲面上两点A,B间的曲线积分image.png与路径无关(即闭合曲线积分image.png)的充要条件
image.png
此时该表达式可以写作函数image.png的全微分image.png