leetcode 链接:环形链表
《程序员面试金典(第 6 版)》中相同题目:[中等] 2.8 环路检测
题目
给定一个链表,判断链表中是否有环。
如果链表中有某个节点,可以通过连续跟踪 next 指针再次到达,则链表中存在环。 为了表示给定链表中的环,我们使用整数 pos 来表示链表尾连接到链表中的位置(索引从 0 开始)。 如果 pos 是 -1,则在该链表中没有环。注意:**pos** 不作为参数进行传递,仅仅是为了标识链表的实际情况。
如果链表中存在环,则返回 true 。 否则,返回 false 。
进阶:
你能用 O(1)(即,常量)内存解决此问题吗?
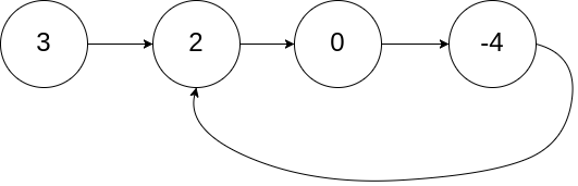
示例 1:![[容易] 141. 环形链表 - 图1](/uploads/projects/xf015y@ivbwyo/3a4722e7c1cd2770e31bf7d4dd0bd2d0.png)
输入:head = [3,2,0,-4], pos = 1输出:true解释:链表中有一个环,其尾部连接到第二个节点。
示例 2:![[容易] 141. 环形链表 - 图2](/uploads/projects/xf015y@ivbwyo/f8101eae547e60baa508cdf83ef8c47d.png)
输入:head = [1,2], pos = 0
输出:true
解释:链表中有一个环,其尾部连接到第一个节点。
示例 3:![[容易] 141. 环形链表 - 图3](/uploads/projects/xf015y@ivbwyo/fe3555d19d46a5fc61f9d125209ae9e7.png)
输入:head = [1], pos = -1
输出:false
解释:链表中没有环。
解答 & 代码
使用快、慢双指针同时遍历链表,快指针一次走两步,慢指针一次走一步,如果相遇,则链表有环
/**
* Definition for singly-linked list.
* struct ListNode {
* int val;
* ListNode *next;
* ListNode(int x) : val(x), next(NULL) {}
* };
*/
class Solution {
public:
bool hasCycle(ListNode *head) {
if(head == NULL || head->next == NULL)
return false;
ListNode* fast = head->next;
ListNode* slow = head;
while(fast != slow && fast != NULL && fast->next != NULL && fast->next->next != NULL)
{
fast= fast->next->next;
slow = slow->next;
}
if(fast == slow)
return true;
else
return false;
}
};
执行结果:
执行结果:通过
执行用时:12 ms, 在所有 C++ 提交中击败了 72.63% 的用户
内存消耗:8 MB, 在所有 C++ 提交中击败了 20.87% 的用户
