leetcode 链接:94. 二叉树的中序遍历
题目
给定一个二叉树的根节点 root ,返回它的 中序 遍历。
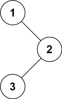
示例:![[容易] 94. 二叉树的中序遍历 - 图1](/uploads/projects/xf015y@ivbwyo/9909bfabe458ff78c4fe54a5f7169a9c.jpeg)
输入:root = [1,null,2,3]输出:[1,3,2]
输入:root = []
输出:[]
解答 & 代码
解法一:递归
- 时间复杂度 O(n):n 是二叉树的节点数
空间复杂度 O(d):d 是二叉树的深度,最坏情况下,二叉树是一条链,则空间复杂度 O(n)
/** * Definition for a binary tree node. * struct TreeNode { * int val; * TreeNode *left; * TreeNode *right; * TreeNode() : val(0), left(nullptr), right(nullptr) {} * TreeNode(int x) : val(x), left(nullptr), right(nullptr) {} * TreeNode(int x, TreeNode *left, TreeNode *right) : val(x), left(left), right(right) {} * }; */ class Solution { void inorder(TreeNode* root, vector<int>& result) { if(root->left) inorder(root->left, result); result.push_back(root->val); if(root->right) inorder(root->right, result); } public: vector<int> inorderTraversal(TreeNode* root) { vector<int> result; if(root) inorder(root, result); return result; } };执行结果: ``` 执行结果:通过
执行用时:0 ms, 在所有 C++ 提交中击败了 100.00% 的用户 内存消耗:8.1 MB, 在所有 C++ 提交中击败了 72.37% 的用户
<a name="QGaKL"></a>
## 解法二:迭代
- 时间复杂度 O(n):n 是二叉树的节点数
- 空间复杂度 O(d):d 是二叉树的深度,最坏情况下,二叉树是一条链,则空间复杂度 O(n)
```cpp
/**
* Definition for a binary tree node.
* struct TreeNode {
* int val;
* TreeNode *left;
* TreeNode *right;
* TreeNode() : val(0), left(nullptr), right(nullptr) {}
* TreeNode(int x) : val(x), left(nullptr), right(nullptr) {}
* TreeNode(int x, TreeNode *left, TreeNode *right) : val(x), left(left), right(right) {}
* };
*/
class Solution {
public:
vector<int> inorderTraversal(TreeNode* root) {
vector<int> result;
stack<TreeNode*> nodeS;
// 遍历节点,直到 root 为空且栈为空
while(root != nullptr || !nodeS.empty())
{
// 一直往左子树方向走,走的过程中将节点压入栈,直到 root == nullptr
while(root != nullptr)
{
nodeS.push(root);
root = root->left;
}
// 此时 root == nullptr,说明上一步的 root 没有左子树,即左边走到头了
// 从栈中弹出节点并将节点值保存到结果数组中
root = nodeS.top(); // root 指回上一步的 root
nodeS.pop(); // 出栈
result.push_back(root->val); // 压入结果数组
// 然后转向右节点,继续上面的过程
root = root->right; // 访问右节点
}
return result;
}
};
执行结果:
执行结果:通过
执行用时:0 ms, 在所有 C++ 提交中击败了 100.00% 的用户
内存消耗:8.2 MB, 在所有 C++ 提交中击败了 32.21% 的用户
