leetcode 链接:112. 路径总和
题目
给你二叉树的根节点 root 和一个表示目标和的整数 targetSum ,判断该树中是否存在 根节点到叶子节点 的路径,这条路径上所有节点值相加等于目标和 targetSum 。
叶子节点 是指没有子节点的节点。
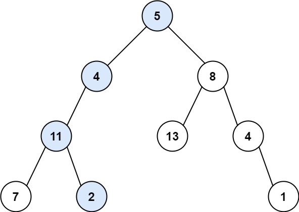
示例:![[容易] 112. 路径总和 - 图1](/uploads/projects/xf015y@ivbwyo/2d1ce66a94556e2740422c52bcbae084.jpeg)
输入:root = [5,4,8,11,null,13,4,7,2,null,null,null,1], targetSum = 22输出:true
输入:root = [1,2,3], targetSum = 5
输出:false
输入:root = [1,2], targetSum = 0
输出:false
解答 & 代码
/**
* Definition for a binary tree node.
* struct TreeNode {
* int val;
* TreeNode *left;
* TreeNode *right;
* TreeNode() : val(0), left(nullptr), right(nullptr) {}
* TreeNode(int x) : val(x), left(nullptr), right(nullptr) {}
* TreeNode(int x, TreeNode *left, TreeNode *right) : val(x), left(left), right(right) {}
* };
*/
class Solution {
public:
bool hasPathSum(TreeNode* root, int targetSum) {
if(root == nullptr) // 特殊情况:题目判定若 root 为空,则不存在路径
return false;
// 递归结束条件:当前节点为叶节点
// 如果当前节点的值 == targetSum,则说明这条路径的和符合要求,返回 true,否则返回 false
if(root->left == nullptr && root->right == nullptr)
return targetSum == root->val;
// 递归遍历左右子树,只要存在一条路径和为 targetSum 即可
bool left = root->left != nullptr && hasPathSum(root->left, targetSum - root->val);
bool right = root->right != nullptr && hasPathSum(root->right, targetSum - root->val);
return left || right;
}
};
执行结果:
执行结果:通过
执行用时:8 ms, 在所有 C++ 提交中击败了 92.76% 的用户
内存消耗:20.7 MB, 在所有 C++ 提交中击败了 59.33% 的用户
