leetcode 链接:110. 平衡二叉树
题目
给定一个二叉树,判断它是否是高度平衡的二叉树。
本题中,一棵高度平衡二叉树定义为:
一个二叉树每个节点 的左右两个子树的高度差的绝对值不超过 1 。
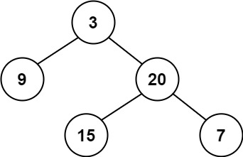
示例:![[容易] 110. 平衡二叉树 - 图1](/uploads/projects/xf015y@ivbwyo/fe1b2d6e0fc95fc7c250b6a05fbb3f91.jpeg)
输入:root = [3,9,20,null,null,15,7]输出:true
![[容易] 110. 平衡二叉树 - 图2](/uploads/projects/xf015y@ivbwyo/75a0b810414325dc862e3848de007875.jpeg)
输入:root = [1,2,2,3,3,null,null,4,4]
输出:false
输入:root = []
输出:true
解答 & 代码
dfs 后序遍历(自底向上的递归):递归求以 root 节点为根的树的深度,同时判断是否是平衡二叉树,如果不平衡则返回 -1,否则返回树的深度。
/**
* Definition for a binary tree node.
* struct TreeNode {
* int val;
* TreeNode *left;
* TreeNode *right;
* TreeNode() : val(0), left(nullptr), right(nullptr) {}
* TreeNode(int x) : val(x), left(nullptr), right(nullptr) {}
* TreeNode(int x, TreeNode *left, TreeNode *right) : val(x), left(left), right(right) {}
* };
*/
class Solution {
private:
// 后序遍历(自底向上的递归):
// 递归求以 root 节点为根的树的深度,同时判断是否是平衡二叉树
// 如果不平衡则返回 -1,否则返回树的深度
int height(TreeNode* root)
{
// 递归结束条件
if(root == nullptr)
return 0;
// 先递归得到以左/右节点为根的子树的深度
int leftHeight = height(root->left);
int rightHeight = height(root->right);
// 后续遍历计算当前节点深度
// 如果左子树不平衡 or 右子树不平衡 or 左右子树高度差>1(即当前树不平衡),直接返回-1
if(leftHeight == -1 || rightHeight == -1 || abs(leftHeight - rightHeight) > 1)
return -1;
// 否则,返回以当前 root 节点为根的树的深度
else
return max(leftHeight, rightHeight) + 1;
}
public:
bool isBalanced(TreeNode* root) {
// 如果以 root 节点为根的树的深度为 -1,则说明不是平衡二叉树,否则是平衡二叉树
return height(root) >= 0;
}
};
执行结果:
执行结果:通过
执行用时:4 ms, 在所有 C++ 提交中击败了 99.55% 的用户
内存消耗:20.5 MB, 在所有 C++ 提交中击败了 19.91% 的用户
