leetcode 链接:求根节点到叶节点数字之和
题目
给你一个二叉树的根节点 root ,树中每个节点都存放有一个 0 到 9 之间的数字。每条从根节点到叶节点的路径都代表一个数字:
- 例如,从根节点到叶节点的路径
1 -> 2 -> 3表示数字123。
计算从根节点到叶节点生成的 所有数字之和 。
叶节点 是指没有子节点的节点。
示例:![[中等] 129. 求根节点到叶节点数字之和 - 图1](/uploads/projects/xf015y@ivbwyo/d64862de50fb4ee621fae0eab33fdb2b.jpeg)
输入:root = [1,2,3]输出:25解释:从根到叶子节点路径 1->2 代表数字 12从根到叶子节点路径 1->3 代表数字 13因此,数字总和 = 12 + 13 = 25
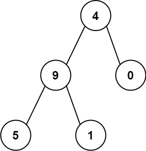
![[中等] 129. 求根节点到叶节点数字之和 - 图2](/uploads/projects/xf015y@ivbwyo/b0dcaa18d2ab3fc95b5e77cf1d14632a.jpeg)
输入:root = [4,9,0,5,1]
输出:1026
解释:
从根到叶子节点路径 4->9->5 代表数字 495
从根到叶子节点路径 4->9->1 代表数字 491
从根到叶子节点路径 4->0 代表数字 40
因此,数字总和 = 495 + 491 + 40 = 1026
解答 & 代码
解法一:深度优先遍历(递归回溯)
前序遍历
/**
* Definition for a binary tree node.
* struct TreeNode {
* int val;
* TreeNode *left;
* TreeNode *right;
* TreeNode() : val(0), left(nullptr), right(nullptr) {}
* TreeNode(int x) : val(x), left(nullptr), right(nullptr) {}
* TreeNode(int x, TreeNode *left, TreeNode *right) : val(x), left(left), right(right) {}
* };
*/
class Solution {
// 深度优先遍历(前序遍历)
void dfs(TreeNode* root, int& curNum, int& sum)
{
// 计算根节点到当前节点的路径代表的数值
curNum = curNum * 10 + root->val;
// 只有左右孩子都为空才是叶子节点,才需要进行加和
if(root->left == nullptr && root->right == nullptr)
sum += curNum;
// 递归遍历左右子树
if(root->left != nullptr)
dfs(root->left, curNum, sum);
if(root->right != nullptr)
dfs(root->right, curNum, sum);
// 回溯,消除改动
curNum = curNum / 10;
}
public:
int sumNumbers(TreeNode* root) {
if(root == nullptr)
return -1;
int curNum = 0;
int sum = 0;
dfs(root, curNum, sum);
return sum;
}
};
执行结果:
执行结果:通过
执行用时:4 ms, 在所有 C++ 提交中击败了 56.75% 的用户
内存消耗:8.9 MB, 在所有 C++ 提交中击败了84.60% 的用户
解法二:广度优先遍历
层序遍历
/**
* Definition for a binary tree node.
* struct TreeNode {
* int val;
* TreeNode *left;
* TreeNode *right;
* TreeNode() : val(0), left(nullptr), right(nullptr) {}
* TreeNode(int x) : val(x), left(nullptr), right(nullptr) {}
* TreeNode(int x, TreeNode *left, TreeNode *right) : val(x), left(left), right(right) {}
* };
*/
class Solution {
public:
int sumNumbers(TreeNode* root) {
if(root == nullptr)
return -1;
int sum = 0;
typedef pair<TreeNode*, int> NodeNumPair; // <树节点指针,根节点到当前节点的路径代表的数值>pair
queue<NodeNumPair> nodeQ; // 用于层序遍历的队列,存储pair(也可以用节点队列+数值队列两个队列实现)
nodeQ.push(NodeNumPair(root, root->val)); // 首先将根节点压入
while(!nodeQ.empty())
{
int levelSize = nodeQ.size(); // 当前层的节点数
for(int i = 0; i < levelSize; ++i)
{
NodeNumPair curPair = nodeQ.front();
nodeQ.pop();
TreeNode* cur = curPair.first;
int num = curPair.second;
// 如果左右子树都为空,说明当前节点是叶节点,将其代表的数值加入 sum
if(cur->left == nullptr && cur->right == nullptr)
sum += num;
// 将左右子节点压入队列
if(cur->left != nullptr)
nodeQ.push(NodeNumPair(cur->left, num * 10 + cur->left->val));
if(cur->right != nullptr)
nodeQ.push(NodeNumPair(cur->right, num * 10 + cur->right->val));
}
}
return sum;
}
};
执行结果:通过
执行用时:4 ms, 在所有 C++ 提交中击败了 56.75% 的用户
内存消耗:9.2 MB, 在所有 C++ 提交中击败了16.86% 的用户
解法三:层序遍历+原地修改节点值为当前路径值
思路:层序遍历
/**
* Definition for a binary tree node.
* struct TreeNode {
* int val;
* TreeNode *left;
* TreeNode *right;
* TreeNode() : val(0), left(nullptr), right(nullptr) {}
* TreeNode(int x) : val(x), left(nullptr), right(nullptr) {}
* TreeNode(int x, TreeNode *left, TreeNode *right) : val(x), left(left), right(right) {}
* };
*/
class Solution {
public:
int sumNumbers(TreeNode* root) {
if(root == nullptr)
return 0;
int sum = 0;
queue<TreeNode*> nodeQ;
nodeQ.push(root);
while(!nodeQ.empty())
{
// 遍历二叉树的一层
int levelSize = nodeQ.size();
for(int i = 0; i < levelSize; ++i)
{
TreeNode* cur = nodeQ.front();
nodeQ.pop();
// 如果当前节点是叶节点,更新路径和
if(cur->left == nullptr && cur->right == nullptr)
sum += cur->val;
// 如果左子树不为空,将左子树节点的值修改为从根节点到左子树的路径代表的数值
if(cur->left != nullptr)
{
cur->left->val += cur->val * 10;
nodeQ.push(cur->left);
}
// 如果右子树不为空,将右子树节点的值修改为从根节点到右子树的路径代表的数值
if(cur->right != nullptr)
{
cur->right->val += cur->val * 10;
nodeQ.push(cur->right);
}
}
}
return sum;
}
};
执行结果:通过
执行用时:0 ms, 在所有 C++ 提交中击败了 100.00% 的用户
内存消耗:9 MB, 在所有 C++ 提交中击败了36.85% 的用户
