leetcode 链接:相交链表
题目
给你两个单链表的头节点 headA 和 headB ,请你找出并返回两个单链表相交的起始节点。如果两个链表没有交点,返回 null 。
图示两个链表在节点 c1 开始相交:![[容易] 160. 相交链表 - 图1](/uploads/projects/xf015y@ivbwyo/cdb8b91609d0f5ddf181915cad57202d.png)
题目数据 保证 整个链式结构中不存在环。
注意,函数返回结果后,链表必须 保持其原始结构 。
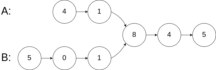
示例 1:![[容易] 160. 相交链表 - 图2](/uploads/projects/xf015y@ivbwyo/a01286590c8f3dd7664deedc2b6d2a1d.png)
输入:intersectVal = 8, listA = [4,1,8,4,5], listB = [5,0,1,8,4,5], skipA = 2, skipB = 3输出:Intersected at '8'解释:相交节点的值为 8 (注意,如果两个链表相交则不能为 0)。从各自的表头开始算起,链表 A 为 [4,1,8,4,5],链表 B 为 [5,0,1,8,4,5]。在 A 中,相交节点前有 2 个节点;在 B 中,相交节点前有 3 个节点。
示例 2:![[容易] 160. 相交链表 - 图3](/uploads/projects/xf015y@ivbwyo/38487f0385a213a5fe6d8340e0b3f1a1.png)
输入:intersectVal = 2, listA = [0,9,1,2,4], listB = [3,2,4], skipA = 3, skipB = 1
输出:Intersected at '2'
解释:相交节点的值为 2 (注意,如果两个链表相交则不能为 0)。
从各自的表头开始算起,链表 A 为 [0,9,1,2,4],链表 B 为 [3,2,4]。
在 A 中,相交节点前有 3 个节点;在 B 中,相交节点前有 1 个节点。
示例 3:![[容易] 160. 相交链表 - 图4](/uploads/projects/xf015y@ivbwyo/8ebd9218f6ad393e4c82acb0b8834bf5.png)
输入:intersectVal = 0, listA = [2,6,4], listB = [1,5], skipA = 3, skipB = 2
输出:null
解释:从各自的表头开始算起,链表 A 为 [2,6,4],链表 B 为 [1,5]。
由于这两个链表不相交,所以 intersectVal 必须为 0,而 skipA 和 skipB 可以是任意值。
这两个链表不相交,因此返回 null 。
解答 & 代码
/**
* Definition for singly-linked list.
* struct ListNode {
* int val;
* ListNode *next;
* ListNode(int x) : val(x), next(NULL) {}
* };
*/
class Solution {
private:
int getListLength(ListNode* head) // 求链表长度
{
ListNode* cur = head;
int cnt = 0;
while(cur != NULL)
{
++cnt;
cur = cur->next;
}
return cnt;
}
public:
ListNode *getIntersectionNode(ListNode *headA, ListNode *headB) {
// 先分别计算两个链表长度
int lenA = getListLength(headA);
int lenB = getListLength(headB);
ListNode* curA = headA;
ListNode* curB = headB;
// 较长的链表先走几步,使得两条链表剩余部分等长
if(lenA < lenB)
{
for(int i = 0; i < lenB - lenA; ++i)
curB = curB->next;
}
else
{
for(int i = 0; i < lenA - lenB; ++i)
curA = curA->next;
}
// 两条链表一起遍历,第一次相等的点就是相交点
while(curA != curB && curA != NULL && curB != NULL)
{
curA = curA->next;
curB = curB->next;
}
return curA;
}
};
执行结果:
执行结果:通过
执行用时:60 ms, 在所有 C++ 提交中击败了 36.10% 的用户
内存消耗:14.3 MB, 在所有 C++ 提交中击败了 25.95% 的用户
