leetcode 链接:96. 不同的二叉搜索树
题目
给你一个整数 n ,求恰由 n 个节点组成且节点值从 1 到 n 互不相同的 二叉搜索树 有多少种?返回满足题意的二叉搜索树的种数。
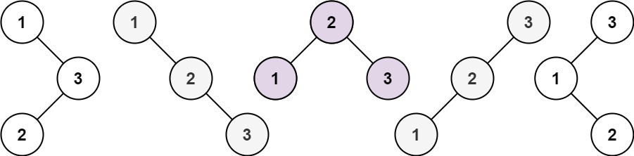
示例:![[中等] 96. 不同的二叉搜索树 - 图1](/uploads/projects/xf015y@ivbwyo/38926a15362aa16cd75928405cddfbb0.jpeg)
输入:n = 3输出:5
输入:n = 1
输出:1
解答 & 代码
因为是二叉搜索树,因此序列 [1,2,....,n] 就是二叉搜索树的中序遍历的结果。可以以该序列中任意一个位置 i 作为根节点,那么左边就是左子树的中序序列,右边就是右子树的中序序列。以 i 作为根节点的二叉搜索树个数 = 长为 i - 1 的二叉搜索树的个数(左子树的种数) * 长为 n - i 的二叉搜索树的个数(右子树的种数)。而长为 n 的二叉搜索树的总个数,就是以各个位置 i 作为根节点的二叉搜索树个数的总和
动态规划:
- 设置
dp数组,dp[i]代表长度为i的序列能构成的不同二叉搜索树的个数 - 状态转移:
初始化:
dp[0] = 1,dp[1] = 1class Solution { public: int numTrees(int n) { if(n < 0) return -1; // 动态规划,dp[i] 代表长度为 i 的序列能构成的不同二叉搜索树的个数 vector<int> dp(n + 1, 0); // 初始化 dp[0] = 1; dp[1] = 1; // 状态转移 for(int i = 2; i <= n; ++i) // 长为 i 的序列对应的二叉搜索树个数 = 以每个元素为根节点的不同二叉搜索树个数之和 { for(int j = 1; j <= i; ++j) // 以 j 为根节点的不同二叉搜索树个数为左右子树种数的乘积 dp[i] += dp[j - 1] * dp[i - j]; } return dp[n]; } };执行结果: ``` 执行结果:通过
执行用时:0 ms, 在所有 C++ 提交中击败了 100.00% 的用户 内存消耗:5.9 MB, 在所有 C++ 提交中击败了 47.79% 的用户 ```
