leetcode 链接:路径总和 II
题目
给你二叉树的根节点 root 和一个整数目标和 targetSum ,找出所有 从根节点到叶子节点 路径总和等于给定目标和的路径。
叶子节点 是指没有子节点的节点。
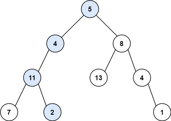
示例:![[中等] 113. 路径总和 II - 图1](/uploads/projects/xf015y@ivbwyo/051f2f93646b64dcedb281940d4b7db0.jpeg)
输入:root = [5,4,8,11,null,13,4,7,2,null,null,5,1], targetSum = 22输出:[[5,4,11,2],[5,8,4,5]]
输入:root = [1,2,3], targetSum = 5
输出:[]
输入:root = [1,2], targetSum = 0
输出:[]
解答 & 代码
/**
* Definition for a binary tree node.
* struct TreeNode {
* int val;
* TreeNode *left;
* TreeNode *right;
* TreeNode() : val(0), left(nullptr), right(nullptr) {}
* TreeNode(int x) : val(x), left(nullptr), right(nullptr) {}
* TreeNode(int x, TreeNode *left, TreeNode *right) : val(x), left(left), right(right) {}
* };
*/
class Solution {
private:
void allPathSum(TreeNode* root, int targetSum, vector<int>& path, vector<vector<int>>& pathList)
{
// 递归结束条件:当前节点是叶子节点
if(root->left == nullptr && root->right == nullptr)
{
if(root->val == targetSum) // 如果当前路径的和等于目标值
{
path.push_back(root->val); // 将当前节点(叶节点)压入当前路径
pathList.push_back(path); // 将当前路径存入结果列表中
path.pop_back(); // 回溯
}
return;
}
path.push_back(root->val); // 将当前节点存入当前路径
// 递归左右子树
if(root->left != nullptr)
allPathSum(root->left, targetSum - root->val, path, pathList);
if(root->right != nullptr)
allPathSum(root->right, targetSum - root->val, path, pathList);
path.pop_back(); // 回溯
}
public:
vector<vector<int>> pathSum(TreeNode* root, int targetSum) {
vector<vector<int>> pathList;
if(root == nullptr) // 特殊情况:根节点为空,返回空,不存在路径
return pathList;
vector<int> path;
allPathSum(root, targetSum, path, pathList); // 递归求所有路径
return pathList;
}
};
执行结果:
执行结果:通过
执行用时:8 ms, 在所有 C++ 提交中击败了 86.49% 的用户
内存消耗:19.3 MB, 在所有 C++ 提交中击败了 85.80% 的用户
