题目
路径 被定义为一条从树中任意节点出发,沿父节点-子节点连接,达到任意节点的序列。同一个节点在一条路径序列中 至多出现一次 。该路径 至少包含一个 节点,且不一定经过根节点。
路径和 是路径中各节点值的总和。
给你一个二叉树的根节点 root ,返回其 最大路径和 。
示例 1:

输入:root = [1,2,3]
输出:6
解释:最优路径是 2 -> 1 -> 3 ,路径和为 2 + 1 + 3 = 6
示例 2:
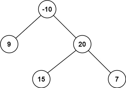
输入:root = [-10,9,20,null,null,15,7]
输出:42
解释:最优路径是 15 -> 20 -> 7 ,路径和为 15 + 20 + 7 = 42
提示:
树中节点数目范围是 [1, 3 * 104]
-1000 <= Node.val <= 1000
来源:力扣(LeetCode)
链接:https://leetcode-cn.com/problems/binary-tree-maximum-path-sum
著作权归领扣网络所有。商业转载请联系官方授权,非商业转载请注明出处。
题解
1.递归
找左右子树和根节点和的最大值
返回当前路径(左子树+根节点 || 右子树+根节点 || 单独根节点)的最大值
描述比较难,见代码比较易懂
/*** Definition for a binary tree node.* function TreeNode(val, left, right) {* this.val = (val===undefined ? 0 : val)* this.left = (left===undefined ? null : left)* this.right = (right===undefined ? null : right)* }*//*** @param {TreeNode} root* @return {number}*/var maxPathSum = function (root) {let max = Number.MIN_SAFE_INTEGERconst preorder = (root) => {if (!root) {return 0}const left = preorder(root.left)const right = preorder(root.right)let v1 = root.val + leftlet v2 = root.val + rightlet v3 = root.vallet v4 = root.val + left + rightmax = Math.max(max, v1, v2, v3, v4)return Math.max(v1, v2, v3)}preorder(root)return max};
