给定一个不含重复元素的整数数组 nums 。一个以此数组直接递归构建的 最大二叉树 定义如下:
- 二叉树的根是数组
nums中的最大元素。 - 左子树是通过数组中 最大值左边部分 递归构造出的最大二叉树。
- 右子树是通过数组中 最大值右边部分 递归构造出的最大二叉树。
返回有给定数组 nums 构建的 最大二叉树 。
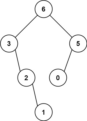
示例 1:
输入:nums = [3,2,1,6,0,5]输出:[6,3,5,null,2,0,null,null,1]解释:递归调用如下所示:- [3,2,1,6,0,5] 中的最大值是 6 ,左边部分是 [3,2,1] ,右边部分是 [0,5] 。- [3,2,1] 中的最大值是 3 ,左边部分是 [] ,右边部分是 [2,1] 。- 空数组,无子节点。- [2,1] 中的最大值是 2 ,左边部分是 [] ,右边部分是 [1] 。- 空数组,无子节点。- 只有一个元素,所以子节点是一个值为 1 的节点。- [0,5] 中的最大值是 5 ,左边部分是 [0] ,右边部分是 [] 。- 只有一个元素,所以子节点是一个值为 0 的节点。- 空数组,无子节点。
示例 2:
输入:nums = [3,2,1]
输出:[3,null,2,null,1]
提示:
1 <= nums.length <= 10000 <= nums[i] <= 1000nums中的所有整数 互不相同解法一:递归
记住 labuladong 的一句话:
把题目的要求细化,搞清楚根节点应该做什么,然后剩下的事情抛给前/中/后序的遍历框架就行了,我们千万不要跳进递归的细节里,你的脑袋才能压几个栈呀。func constructMaximumBinaryTree(nums []int) *TreeNode { if len(nums) == 0 { return nil } idx, max := 0, math.MinInt32 for i := 0; i < len(nums); i++ { if max < nums[i] { idx = i max = nums[i] } } head := new(TreeNode) head.Val = max head.Left = constructMaximumBinaryTree(nums[:idx]) head.Right = constructMaximumBinaryTree(nums[idx+1:]) return head }
