给你一个有 n 个节点的 有向无环图(DAG) ,请你找出所有从节点 0 到节点 n-1 的路径并输出( 不要求按特定顺序 )graph[i] 是一个从节点 i 可以访问的所有节点的列表(即从节点 i 到节点 graph[i][j] 存在一条有向边)。
示例 1:
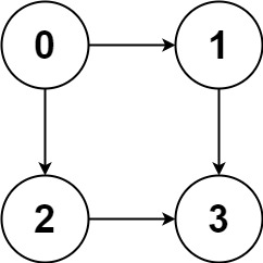
输入:graph = [[1,2],[3],[3],[]]输出:[[0,1,3],[0,2,3]]解释:有两条路径 0 -> 1 -> 3 和 0 -> 2 -> 3
示例 2:
输入:graph = [[4,3,1],[3,2,4],[3],[4],[]]
输出:[[0,4],[0,3,4],[0,1,3,4],[0,1,2,3,4],[0,1,4]]
提示:
n == graph.length2 <= n <= 150 <= graph[i][j] < ngraph[i][j] != i(即不存在自环)graph[i]中的所有元素 互不相同- 保证输入为 有向无环图(DAG)
解法一:回溯
function allPathsSourceTarget(graph: number[][]): number[][] {
let res: Array<Array<number>> = []
let target = graph.length - 1
const recursion = (path: Array<number>, cur: number) => {
if (cur === target) {
res.push([...path])
return
}
for (let next of graph[cur]) {
path.push(next)
recursion(path, next)
path.pop()
}
}
recursion([0], 0)
return res
};
