问题描述:
给定n个矩阵
其中 Ai 与Ai +1是可乘的,i=1,2,3……n-1。考察这n个矩阵的连乘积
由于矩阵乘法满足结合律,所以计算矩阵的连乘可以有许多不同的计算次序。这种计算次序可以用加括号的方式来确定。
若一个矩阵连乘积的计算次序完全确定,也就是说该连乘积已完全加括号,则可以依此次序反复调用2个矩阵相乘的标准算法计算出矩阵连乘积。
给定n个矩阵{A1,A2,…,An},其中Ai与Ai+1是可乘的,i=1,2 ,…,n-1。如何确定计算矩阵连乘积的计算次序,使得依此次序计算矩阵连乘积需要的数乘次数最少。
穷举法:列举出所有可能的计算次序,并计算出每一种计算次序相应需要的数乘次数,从中找出一种数乘次数最少的计算次序
动态规划:将矩阵连乘积 AiAi+1……..Aj 简记为A[i:j] ,这里i≤j ,考察计算A[i:j]的最优计算次序。设这个计算次序在矩阵Ak和Ak+1之间将矩阵链断开,i≤k
计算量:A[i:k]的计算量加上A[k+1:j]的计算量,再加上A[i:k]和A[k+1:j]相乘的计算量
特征:计算A[i:j]的最优次序所包含的计算矩阵子链 A[i:k]和A[k+1:j]的次序也是最优的。
矩阵连乘计算次序问题的最优解包含着其子问题的最优解。这种性质称为最优子结构性质。问题的最优子结构性质是该问题可用动态规划算法求解的显著特征。
建立递归关系:
设计算A[i:j],1≤i≤j≤n,所需要的最少数乘次数m[i][j],则原问题的最优值为m[1][n]
当i=j时,A[i:j]=Ai,因此,m[i][i]=0,i=1,2,…,n
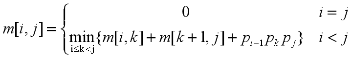
当i
递归地定义m[i][j]为:(i<=k
算法复杂度分析:
算法matrixChain的主要计算量取决于算法中对r,i和k的3重循环。循环体内的计算量为O(1),而3重循环的总次数为O(n3)。因此算法的计算时间上界为O(n3)。算法所占用的空间显然为O(n2)。
void MatrixChain(int p[], int n, int m[][N], int s[][N]) {for (int i = 1; i <= n; i++)//矩阵链中只有一个矩阵时,次数为0,注意m[0][X]时未使用的m[i][i] = 0;for (int r = 2; r <= n; r++) {//矩阵链长度,从长度为2开始for (int i = 1; i <= n - r + 1; i++) {//根据链长度,控制链最大的可起始点int j = i + (r - 1);//矩阵链的末尾矩阵,注意r-1,因为矩阵链为2时,实际是往右+1m[i][j] = m[i][i] + m[i + 1][j] + p[i - 1] * p[i] * p[j];//k=i//先设置最好的划分方法就是直接右边开刀,后续改正,也可合并到下面的for循环中即让下面的int k=is[i][j] = i;for (int k = i + 1; k < j; k++) {//这里面将断链点从i+1开始,可以断链的点直到j-1为止int t = m[i][k] + m[k + 1][j] + p[i - 1] * p[k] * p[j];if (t < m[i][j]) {m[i][j] = t;s[i][j] = k;}}}}}
#include<iostream>
using namespace std;
#define N 7 //N为7,实际表示有6个矩阵
/*
*矩阵链构造函数:构造m[][]和s[][]
*m中存储的值是计算出来的最小乘法次数,比如m[1][5]就是A1A2A3A4A5的最小乘法次数
*s中存储的是获取最小乘法次数时的断链点,s[1][5]对应的就是如何拆分A1A2A3A4A5
*比如S[1][5]=3可表示:(A1A2A3)(A4A5),当然内部断链还会继续划分A1A2A3
*/
void MatrixChain(int p[], int n, int m[][N], int s[][N]) {
for (int i = 1; i <= n; i++)
//矩阵链中只有一个矩阵时,次数为0,注意m[0][X]时未使用的
m[i][i] = 0;
for (int r = 2; r <= n; r++) {
//矩阵链长度,从长度为2开始
for (int i = 1; i <= n - r + 1; i++) {
//根据链长度,控制链最大的可起始点
int j = i + (r - 1);
//矩阵链的末尾矩阵,注意r-1,因为矩阵链为2时,实际是往右+1
m[i][j] = m[i][i] + m[i + 1][j] + p[i - 1] * p[i] * p[j];//k=i
//先设置最好的划分方法就是直接右边开刀,后续改正,也可合并到下面的for循环中即让下面的int k=i
s[i][j] = i;
for (int k = i + 1; k < j; k++) {
//这里面将断链点从i+1开始,可以断链的点直到j-1为止
int t = m[i][k] + m[k + 1][j] + p[i - 1] * p[k] * p[j];
if (t < m[i][j]) {
m[i][j] = t;
s[i][j] = k;
}
}
}
}
for (int i = 1; i <= N - 1; i++) {
for (int j = 1; j <= N - 1; j++) {
if (i > j)
cout << "\t";
else
cout << m[i][j] << "\t";
}
cout << endl;
}
cout << endl << endl;
for (int i = 1; i <= N - 1; i++) {
for (int j = 1; j <= N - 1; j++) {
if (i >= j)
cout << "\t";
else
cout << s[i][j] << "\t";
}
cout << endl;
}
cout << endl << endl;
}
//追踪函数:根据输入的i,j限定需要获取的矩阵链的始末位置,s存储断链点
void Traceback(int i, int j, int s[][N]) {
if (i == j) //回归条件
{
cout << "A" << i;
}
else //按照最佳断点一分为二,接着继续递归
{
cout << "(";
Traceback(i, s[i][j], s);
Traceback(s[i][j] + 1, j, s);
cout << ")";
}
}
int main() {
int p[N] = { 30,35,15,5,10,20,25 };
int m[N][N], s[N][N];
MatrixChain(p, N - 1, m, s);//N-1因为只有六个矩阵
Traceback(1, 6, s);
cout << endl << endl;
system("pause");
return 0;
}
运行结果:

">
