GRU/LSTM/深层RNN/双向RNN
GRU
RNN存在的问题:梯度较容易出现衰减或爆炸(BPTT)
⻔控循环神经⽹络:捕捉时间序列中时间步距离较大的依赖关系
RNN:
Ht=ϕ(XtWxh+Ht−1Whh+bh)
GRU:
Rt=σ(XtWxr+Ht−1Whr+br)
Zt=σ(XtWxz+Ht−1Whz+bz)
H~t=tanh(XtWxh+(Rt⊙Ht−1)Whh+bh)
Ht=Zt⊙Ht−1+(1−Zt)⊙H~t
• 重置⻔有助于捕捉时间序列⾥短期的依赖关系;
• 更新⻔有助于捕捉时间序列⾥⻓期的依赖关系。
LSTM
长短期记忆long short-term memory :
遗忘门:控制上一时间步的记忆细胞
输入门:控制当前时间步的输入
输出门:控制从记忆细胞到隐藏状态
记忆细胞:⼀种特殊的隐藏状态的信息的流动
It=σ(XtWxi+Ht−1Whi+bi)
Ft=σ(XtWxf+Ht−1Whf+bf)
Ot=σ(XtWxo+Ht−1Who+bo)
C~t=tanh(XtWxc+Ht−1Whc+bc)
Ct=Ft⊙Ct−1+It⊙C~t
Ht=Ot⊙tanh(Ct)
深度循环神经网络

Ht(1)=ϕ(XtWxh(1)+Ht−1(1)Whh(1)+bh(1))
Ht(ℓ)=ϕ(Ht(ℓ−1)Wxh(ℓ)+Ht−1(ℓ)Whh(ℓ)+bh(ℓ))
Ot=Ht(L)Whq+bq
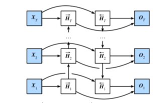
双向循环神经网络

H→t=ϕ(XtWxh(f)+H→t−1Whh(f)+bh(f))
H←t=ϕ(XtWxh(b)+H←t+1Whh(b)+bh(b))
Ht=(H→t,H←t)
Ot=HtWhq+bq
