基本要素
模型
假设价格只取决于房屋状况的两个因素,即面积(平方米)和房龄(年),并且与之线性相关
数据集
我们通常收集一系列的真实数据,例如多栋房屋的真实售出价格和它们对应的面积和房龄。
- 该数据集被称为训练数据集(training data set)或训练集(training set)
- 一栋房屋被称为一个样本(sample)
- 真实售出价格叫作标签(label)
-
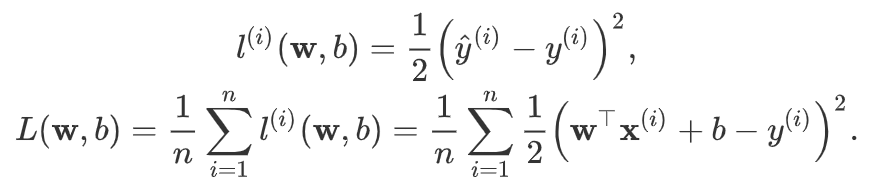
损失函数
优化函数 - 随机梯度下降
解析解(analytical solution)
- 问题的解可以直接用公式表达出来
- 数值解(numerical solution)
- 大多数深度学习模型并没有解析解,只能通过优化算法有限次迭代模型参数来尽可能降低损失函数的值
- 小批量随机梯度下降(mini-batch stochastic gradient descent)在深度学习中被广泛使用

- 学习率: η代表在每次优化中,能够学习的步长的大小
- 批量大小: B是小批量计算中的批量大小batch size
- 优化函数的步骤
