题目
编写一个程序,找到两个单链表相交的起始节点。
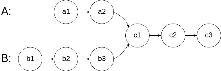
如下面的两个链表:
在节点 c1 开始相交。
示例 1:
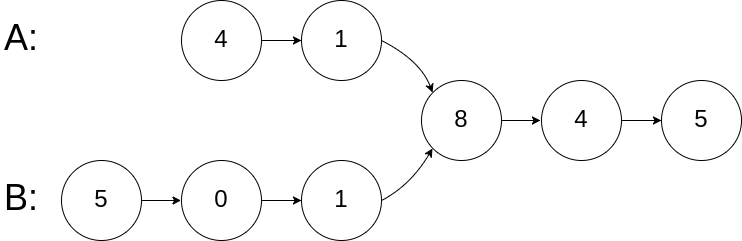
输入:intersectVal = 8, listA = [4,1,8,4,5], listB = [5,0,1,8,4,5], skipA = 2, skipB = 3输出:Reference of the node with value = 8输入解释:相交节点的值为 8 (注意,如果两个链表相交则不能为 0)。从各自的表头开始算起,链表 A 为 [4,1,8,4,5],链表 B 为 [5,0,1,8,4,5]。在 A 中,相交节点前有 2 个节点;在 B 中,相交节点前有 3 个节点。
示例 2:
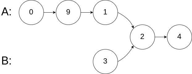
输入:intersectVal = 2, listA = [0,9,1,2,4], listB = [3,2,4], skipA = 3, skipB = 1
输出:Reference of the node with value = 2
输入解释:相交节点的值为 2 (注意,如果两个链表相交则不能为 0)。从各自的表头开始算起,链表 A 为 [0,9,1,2,4],链表 B 为 [3,2,4]。在 A 中,相交节点前有 3 个节点;在 B 中,相交节点前有 1 个节点。
输入:intersectVal = 0, listA = [2,6,4], listB = [1,5], skipA = 3, skipB = 2
输出:null
输入解释:从各自的表头开始算起,链表 A 为 [2,6,4],链表 B 为 [1,5]。由于这两个链表不相交,所以 intersectVal 必须为 0,而 skipA 和 skipB 可以是任意值。
解释:这两个链表不相交,因此返回 null。
注意:
- 如果两个链表没有交点,返回
null. - 在返回结果后,两个链表仍须保持原有的结构。
- 可假定整个链表结构中没有循环。
- 程序尽量满足 O(n) 时间复杂度,且仅用 O(1) 内存。
题解1
这题看似很难,其实思想很简单,你只需要把尾节点连接到B链表的表头,就形成了一个环。
这样问题就转化成了寻找入环点,也就是 142. 环形链表 II
class Solution:
def getIntersectionNode(self, headA: ListNode, headB: ListNode) -> ListNode:
pa = headA
pb = headB
while pa.next:
pa = pa.next
while pb.next:
pb = pb.next
if pa != pb:
return None
pb.next = headB
i = headA.next
j = headA.next.next
while i != j:
i = i.next
j = j.next.next
i = headA
while i != j:
i = i.next
j = j.next
pb.next = None
return i
题解2
还有一种更容易理解的思路:用两个指针,一个走的路径为A+B,另一个为B+A。
因为 A+B 和 B+A 长度是相等的,因此两者都遍历完时,必然都同时到达尾节点。
但它们速度相同,因此在到达尾节点之前,它们肯定已经先相遇了,这个相遇点就是相交点。
class Solution:
def getIntersectionNode(self, headA, headB):
curr1, curr2 = headA, headB
while curr1 != curr2:
curr1 = curr1.next if curr1 else headB
curr2 = curr2.next if curr2 else headA
return curr1
题解3
还有一种最简单的方法,测出两个链表的长度,然后计算差值,让长的一段先走差值步后,另一段才开始走,这样两者肯定在合并处相遇。




