94. 二叉树的中序遍历
给定一个二叉树的根节点 root ,返回它的 中序 遍历。
示例 1:
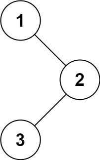
输入:root = [1,null,2,3]输出:[1,3,2]
示例 2:
输入:root = []
输出:[]
示例 3:
输入:root = [1]
输出:[1]
示例 4:
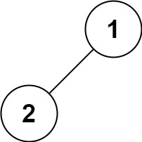
输入:root = [1,2]
输出:[2,1]
示例 5:
输入:root = [1,null,2]
输出:[1,2]
提示:
- 树中节点数目在范围
[0, 100]内 100 <= Node.val <= 100
进阶: 递归算法很简单,你可以通过迭代算法完成吗?
递归解法
# Definition for a binary tree node.
# class TreeNode:
# def __init__(self, val=0, left=None, right=None):
# self.val = val
# self.left = left
# self.right = right
class Solution:
def inorderTraversal(self, root: TreeNode) -> List[int]:
L=[]
def dfs(root):
if root.left:
dfs(root.left)
L.append(root.val)
if root.right:
dfs(root.right)
if root:
dfs(root)
return L
迭代算法
这是第一种写法,比较丑陋,如果有左节点,就将其存入栈中,然后访问左子树;
如果没有左节点了,就访问根节点,然后访问右子树。
要用一个flag判断是否左节点已经被访问过。
class Solution:
def inorderTraversal(self, root: TreeNode) -> List[int]:
Stack=[]
L=[]
if not root:
return []
Stack.append(root)
flag=False
while Stack:
i=Stack[-1]
if flag:
flag=False
elif i.left:
Stack.append(i.left)
continue
L.append(i.val)
Stack.pop()
if i.right:
Stack.append(i.right)
continue
flag=True
return L
也有一种更简洁的,但是理解起来更难:
- 如果当前节点非空,将节点压入栈,移动到左节点
- 如果当前节点为空,从栈中取出一个元素作为当前节点
- 访问当前节点
- 移动到右节点
class Solution: def inorderTraversal(self, root: TreeNode) -> List[int]: Stack = [] L = [] while root or Stack: while root: Stack.append(root) root = root.left root = Stack.pop() L.append(root.val) root = root.right return L
