题目
给你单链表的头节点 head 和两个整数 left 和 right ,其中 left <= right 。请你反转从位置 left 到位置 right 的链表节点,返回 反转后的链表 。
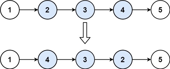
示例 1:

输入:head = [1,2,3,4,5], left = 2, right = 4输出:[1,4,3,2,5]
示例 2:
输入:head = [5], left = 1, right = 1输出:[5]
提示:
- 链表中节点数目为
n 1 <= n <= 500-500 <= Node.val <= 5001 <= left <= right <= n
进阶: 你可以使用一趟扫描完成反转吗?
题解
首先,基本的链表翻转很简单,只是这题要考虑不少的边界条件。
注意可能从head节点就开始反转,所以通过哨兵节点来简化。
# Definition for singly-linked list.# class ListNode:# def __init__(self, val=0, next=None):# self.val = val# self.next = nextclass Solution:def reverseBetween(self, head: ListNode, left: int, right: int) -> ListNode:p0=ListNode(0,head)p=p0for i in range(left-1):p=p.nextpre=pp1=pp=p.nextfor i in range(left,right+1):next=p.nextp.next=prepre=pp=nextp1.next.next=pp1.next=prereturn p0.next
官方题解
class Solution:
def reverseBetween(self, head: ListNode, left: int, right: int) -> ListNode:
# 设置 dummyNode 是这一类问题的一般做法
dummy_node = ListNode(-1)
dummy_node.next = head
pre = dummy_node
for _ in range(left - 1):
pre = pre.next
cur = pre.next
for _ in range(right - left):
next = cur.next
cur.next = next.next
next.next = pre.next
pre.next = next
return dummy_node.next
官方的程序和我的有一点点区别,我是把 curr 指向 pre,它是把 curr.next 指向 curr 。
如果是我来写的话,我肯定这样写:
next=curr.next
curr.next=next.next
next.next=curr
pre.next=next
pre=curr
curr=next
但实际上我们其实需要的是 curr.next 和 pre.next,curr和 pre其实是可以隐去的。
这样的话,就进一步简化了代码,这也太简炼了,不愧是官方代码。
