背景
Gossip protocol 也叫 Epidemic Protocol (流行病协议),实际上它还有很多别名,比如:“流言算法”、“疫情传播算法”等。
这个协议的作用就像其名字表示的意思一样,非常容易理解,它的方式其实在我们日常生活中也很常见,比如电脑病毒的传播,森林大火,细胞扩散等等。
Gossip protocol 最早是在 1987 年发表在 ACM 上的论文 《Epidemic Algorithms for Replicated Database Maintenance》中被提出。主要用在分布式数据库系统中各个副本节点同步数据之用,这种场景的一个最大特点就是组成的网络的节点都是对等节点,是非结构化网络,这区别与之前介绍的用于结构化网络中的 DHT 算法 Kadmelia。
我们知道,很多知名的 P2P 网络或区块链项目,比如 IPFS,Ethereum 等,都使用了 Kadmelia 算法,而大名鼎鼎的 Bitcoin 则是使用了 Gossip 协议来传播交易和区块信息。
实际上,只要仔细分析一下场景就知道,Ethereum 使用 DHT 算法并不是很合理,因为它使用节点保存整个链数据,不像 IPFS 那样分片保存数据,因此 Ethereum 真正适合的协议应该像 Bitcoin 那样,是 Gossip 协议。
这里先简单介绍一下 Gossip 协议的执行过程:
Gossip 过程是由种子节点发起,当一个种子节点有状态需要更新到网络中的其他节点时,它会随机的选择周围几个节点散播消息,收到消息的节点也会重复该过程,直至最终网络中所有的节点都收到了消息。这个过程可能需要一定的时间,由于不能保证某个时刻所有节点都收到消息,但是理论上最终所有节点都会收到消息,因此它是一个最终一致性协议。
Gossip 演示
现在,我们通过一个具体的实例来深入体会一下 Gossip 传播的完整过程
为了表述清楚,我们先做一些前提设定
1、Gossip 是周期性的散播消息,把周期限定为 1 秒
2、被感染节点随机选择 k 个邻接节点(fan-out)散播消息,这里把 fan-out 设置为 3,每次最多往 3 个节点散播。
3、每次散播消息都选择尚未发送过的节点进行散播
4、收到消息的节点不再往发送节点散播,比如 A -> B,那么 B 进行散播的时候,不再发给 A。
注意:Gossip 过程是异步的,也就是说发消息的节点不会关注对方是否收到,即不等待响应;不管对方有没有收到,它都会每隔 1 秒向周围节点发消息。异步是它的优点,而消息冗余则是它的缺点。
这里一共有 16 个节点,节点 1 为初始被感染节点,通过 Gossip 过程,最终所有节点都被感染:GIF示例
Gossip 的特点(优势)
1)扩展性
网络可以允许节点的任意增加和减少,新增加的节点的状态最终会与其他节点一致。
2)容错
网络中任何节点的宕机和重启都不会影响 Gossip 消息的传播,Gossip 协议具有天然的分布式系统容错特性。
3)去中心化
Gossip 协议不要求任何中心节点,所有节点都可以是对等的,任何一个节点无需知道整个网络状况,只要网络是连通的,任意一个节点就可以把消息散播到全网。
4)一致性收敛
Gossip 协议中的消息会以一传十、十传百一样的指数级速度在网络中快速传播,因此系统状态的不一致可以在很快的时间内收敛到一致。消息传播速度达到了 logN。
5)简单
Gossip 协议的过程极其简单,实现起来几乎没有太多复杂性。
Márk Jelasity 在它的 Gossip一书中对其进行了归纳:

Gossip 的缺陷
分布式网络中,没有一种完美的解决方案,Gossip 协议跟其他协议一样,也有一些不可避免的缺陷,主要是两个:
1)消息的延迟
由于 Gossip 协议中,节点只会随机向少数几个节点发送消息,消息最终是通过多个轮次的散播而到达全网的,因此使用 Gossip 协议会造成不可避免的消息延迟。不适合用在对实时性要求较高的场景下。
2)消息冗余
Gossip 协议规定,节点会定期随机选择周围节点发送消息,而收到消息的节点也会重复该步骤,因此就不可避免的存在消息重复发送给同一节点的情况,造成了消息的冗余,同时也增加了收到消息的节点的处理压力。而且,由于是定期发送,因此,即使收到了消息的节点还会反复收到重复消息,加重了消息的冗余。
Gossip 类型
Gossip 有两种类型:
- Anti-Entropy(反熵):以固定的概率传播所有的数据
- Rumor-Mongering(谣言传播):仅传播新到达的数据
Anti-Entropy 是 SI model,节点只有两种状态,Suspective 和 Infective,叫做 simple epidemics。
Rumor-Mongering 是 SIR model,节点有三种状态,Suspective,Infective 和 Removed,叫做 complex epidemics。
其实,Anti-entropy 反熵是一个很奇怪的名词,之所以定义成这样,Jelasity 进行了解释,因为 entropy 是指混乱程度(disorder),而在这种模式下可以消除不同节点中数据的 disorder,因此 Anti-entropy 就是 anti-disorder。换句话说,它可以提高系统中节点之间的 similarity。
在 SI model 下,一个节点会把所有的数据都跟其他节点共享,以便消除节点之间数据的任何不一致,它可以保证最终、完全的一致。
由于在 SI model 下消息会不断反复的交换,因此消息数量是非常庞大的,无限制的(unbounded),这对一个系统来说是一个巨大的开销。
但是在 Rumor Mongering(SIR Model) 模型下,消息可以发送得更频繁,因为消息只包含最新 update,体积更小。而且,一个 Rumor 消息在某个时间点之后会被标记为 removed,并且不再被传播,因此,SIR model 下,系统有一定的概率会不一致。
而由于,SIR Model 下某个时间点之后消息不再传播,因此消息是有限的,系统开销小。
Gossip 中的通信模式
在 Gossip 协议下,网络中两个节点之间有三种通信方式:
- Push: 节点 A 将数据 (key,value,version) 及对应的版本号推送给 B 节点,B 节点更新 A 中比自己新的数据
- Pull:A 仅将数据 key, version 推送给 B,B 将本地比 A 新的数据(Key, value, version)推送给 A,A 更新本地
- Push/Pull:与 Pull 类似,只是多了一步,A 再将本地比 B 新的数据推送给 B,B 则更新本地
如果把两个节点数据同步一次定义为一个周期,则在一个周期内,Push 需通信 1 次,Pull 需 2 次,Push/Pull 则需 3 次。虽然消息数增加了,但从效果上来讲,Push/Pull 最好,理论上一个周期内可以使两个节点完全一致。直观上,Push/Pull 的收敛速度也是最快的。
复杂度分析
对于一个节点数为 N 的网络来说,假设每个 Gossip 周期,新感染的节点都能再感染至少一个新节点,那么 Gossip 协议退化成一个二叉树查找,经过 LogN 个周期之后,感染全网,时间开销是 O(LogN)。由于每个周期,每个节点都会至少发出一次消息,因此,消息复杂度(消息数量 = N * N)是 O(N^2) 。注意,这是 Gossip 理论上最优的收敛速度,但是在实际情况中,最优的收敛速度是很难达到的。
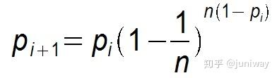
假设某个节点在第 i 个周期被感染的概率为 pi,第 i+1 个周期被感染的概率为 pi+1 ,
1)则 Pull 的方式:

2)Push 方式:

显然 Pull 的收敛速度大于 Push ,而每个节点在每个周期被感染的概率都是固定的 p (0<p<1),因此 Gossip 算法是基于 p 的平方收敛,也称为概率收敛,这在众多的一致性算法中是非常独特的。
