最小生成树,Dijkstra,网络流这些算法问题,他们当然很牛逼,但是,就算法笔试来说,学习的成本高但收益低,没什么性价比,不如多刷几道动态规划,真的。
那么,本文依然秉持我们号的风格,只讲「图」最实用的,离我们最近的部分,让你心里对图有个直观的认识。
图的逻辑结构和具体实现
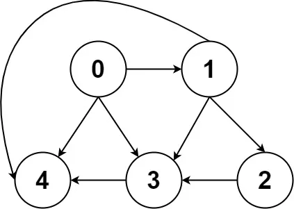
一幅图是由节点和边构成的,逻辑结构如下:

什么叫「逻辑结构」?就是说为了方便研究,我们把图抽象成这个样子。
根据这个逻辑结构,我们可以认为每个节点的实现如下:
/* 图节点的逻辑结构 */class Vertex {int id;Vertex[] neighbors;}
看到这个实现,你有没有很熟悉?它和我们之前说的多叉树节点几乎完全一样:
/* 基本的 N 叉树节点 */class TreeNode {int val;TreeNode[] children;}
所以说,图真的没啥高深的,就是高级点的多叉树而已。
不过呢,上面的这种实现是「逻辑上的」,实际上我们很少用这个Vertex类实现图,而是用常说的邻接表和邻接矩阵来实现。
比如还是刚才那幅图:

用邻接表和邻接矩阵的存储方式如下:
邻接表很直观,我把每个节点x的邻居都存到一个列表里,然后把x和这个列表关联起来,这样就可以通过一个节点x找到它的所有相邻节点。
邻接矩阵则是一个二维布尔数组,我们权且成为matrix,如果节点x和y是相连的,那么就把matrix[x][y]设为true。如果想找节点x的邻居,去扫一圈matrix[x][..]就行了。

那么,为什么有这两种存储图的方式呢?肯定是因为他们各有优劣。
对于邻接表,好处是占用的空间少。
你看邻接矩阵里面空着那么多位置,肯定需要更多的存储空间。
但是,邻接表无法快速判断两个节点是否相邻。
比如说我想判断节点1是否和节点3相邻,我要去邻接表里1对应的邻居列表里查找3是否存在。但对于邻接矩阵就简单了,只要看看matrix[1][3]就知道了,效率高。
所以说,使用哪一种方式实现图,要看具体情况。
好了,对于「图」这种数据结构,能看懂上面这些就绰绰够用了。
那你可能会问,我们这个图的模型仅仅是「有向无权图」,不是还有什么加权图,无向图,等等……
其实,这些更复杂的模型都是基于这个最简单的图衍生出来的。
有向加权图怎么实现?很简单呀:
如果是邻接表,我们不仅仅存储某个节点x的所有邻居节点,还存储x到每个邻居的权重,不就实现加权有向图了吗?
如果是邻接矩阵,matrix[x][y]不再是布尔值,而是一个 int 值,0 表示没有连接,其他值表示权重,不就变成加权有向图了吗?
无向图怎么实现?也很简单,所谓的「无向」,是不是等同于「双向」?

如果连接无向图中的节点x和y,把matrix[x][y]和matrix[y][x]都变成true不就行了;邻接表也是类似的操作。
把上面的技巧合起来,就变成了无向加权图……
好了,关于图的基本介绍就到这里,现在不管来什么乱七八糟的图,你心里应该都有底了。
下面来看看所有数据结构都逃不过的问题:遍历。
图的遍历
图怎么遍历?还是那句话,参考多叉树,多叉树的遍历框架如下:
/* 多叉树遍历框架 */void traverse(TreeNode root) {if (root == null) return;for (TreeNode child : root.children)traverse(child);}
图和多叉树最大的区别是,图是可能包含环的,你从图的某一个节点开始遍历,有可能走了一圈又回到这个节点。
所以,如果图包含环,遍历框架就要一个visited数组进行辅助:
Graph graph;boolean[] visited;/* 图遍历框架 */void traverse(Graph graph, int s) {if (visited[s]) return;// 经过节点 svisited[s] = true;for (TreeNode neighbor : graph.neighbors(s))traverse(neighbor);// 离开节点 svisited[s] = false;}
好吧,看到这个框架,你是不是又想到了 回溯算法核心套路 中的回溯算法框架?
这个visited数组的操作很像回溯算法做「做选择」和「撤销选择」,区别在于位置,回溯算法的「做选择」和「撤销选择」在 for 循环里面,而对数组的操作在 for 循环外面visited。
在 for 循环里面和外面唯一的区别就是对根节点的处理。
比如下面两种多叉树的遍历:
void traverse(TreeNode root) {if (root == null) return;System.out.println("enter: " + root.val);for (TreeNode child : root.children) {traverse(child);}System.out.println("leave: " + root.val);}void traverse(TreeNode root) {if (root == null) return;for (TreeNode child : root.children) {System.out.println("enter: " + child.val);traverse(child);System.out.println("leave: " + child.val);}}
前者会正确打印所有节点的进入和离开信息,而后者唯独会少打印整棵树根节点的进入和离开信息。
为什么回溯算法框架会用后者?因为回溯算法关注的不是节点,而是树枝,不信你看 回溯算法核心套路 里面的图,它可以忽略根节点。
显然,对于这里「图」的遍历,我们应该把visited的操作放到 for 循环外面,否则会漏掉起始点的遍历。
当然,当有向图含有环的时候才需要**visited**数组辅助,如果不含环,连visited数组都省了,基本就是多叉树的遍历。
题目实践
下面我们来看力扣第 797 题「所有可能路径」,函数签名如下:
List<List<Integer>> allPathsSourceTarget(int[][] graph);
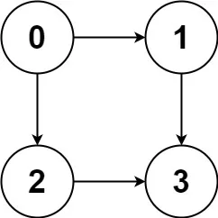
题目输入一幅有向无环图,这个图包含n个节点,标号为0, 1, 2,..., n - 1,请你计算所有从节点0到节点n - 1的路径。
输入的这个graph其实就是「邻接表」表示的一幅图,graph[i]存储这节点i的所有邻居节点。
比如输入graph = [[1,2],[3],[3],[]],就代表下面这幅图:

算法应该返回[[0,1,3],[0,2,3]],即0到3的所有路径。
解法很简单,以**0**为起点遍历图,同时记录遍历过的路径,当遍历到终点时将路径记录下来即可。
既然输入的图是无环的,我们就不需要visited数组辅助了,直接套用图的遍历框架:
// 记录所有路径List<List<Integer>> res = new LinkedList<>();public List<List<Integer>> allPathsSourceTarget(int[][] graph) {LinkedList<Integer> path = new LinkedList<>();traverse(graph, 0, path);return res;}/* 图的遍历框架 */void traverse(int[][] graph, int s, LinkedList<Integer> path) {// 添加节点 s 到路径path.addLast(s);int n = graph.length;if (s == n - 1) {// 到达终点res.add(new LinkedList<>(path));path.removeLast();return;}// 递归每个相邻节点for (int v : graph[s]) {traverse(graph, v, path);}// 从路径移出节点 spath.removeLast();}
这道题就这样解决了。
最后总结一下,图的存储方式主要有邻接表和邻接矩阵,无论什么花里胡哨的图,都可以用这两种方式存储。
在笔试中,最常考的算法是图的遍历,和多叉树的遍历框架是非常类似的。
当然,图还会有很多其他的有趣算法,比如二分图判定呀,环检测呀(编译器循环引用检测就是类似的算法)等等,以后有机会再讲吧,本文就到这了。
