94. 二叉树的中序遍历
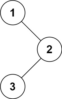
给定一个二叉树,返回它的中序 遍历。 示例: 输入: [1,null,2,3]
输出: [1,3,2] 进阶: 递归算法很简单,你可以通过迭代算法完成吗?
class Solution {public:vector<int> inorderVec;vector<int> inorderTraversal(TreeNode* root) {inorderVec.clear();inorderTra(root);return inorderVec;}void inorderTra(TreeNode* root) {if(root == NULL)return;inorderTra(root->left);inorderVec.push_back(root->val);inorderTra(root->right);}};
输出: [1,3,2]
进阶: 递归算法很简单,你可以通过迭代算法完成吗?