141. 环形链表
给定一个链表,判断链表中是否有环。 如果链表中有某个节点,可以通过连续跟踪
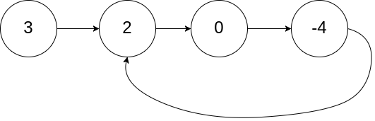
next指针再次到达,则链表中存在环。 为了表示给定链表中的环,我们使用整数pos来表示链表尾连接到链表中的位置(索引从 0 开始)。 如果pos是-1,则在该链表中没有环。注意:pos不作为参数进行传递,仅仅是为了标识链表的实际情况。 如果链表中存在环,则返回true。 否则,返回false。 进阶:你能用 O(1)(即,常量)内存解决此问题吗? 示例 1:输入:head = [3,2,0,-4], pos = 1 输出:true 解释:链表中有一个环,其尾部连接到第二个节点。 示例 2:
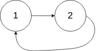
输入:head = [1,2], pos = 0 输出:true 解释:链表中有一个环,其尾部连接到第一个节点。 示例 3:
输入:head = [1], pos = -1 输出:false 解释:链表中没有环。 提示:
- 链表中节点的数目范围是
[0, 10]-10 <= Node.val <= 10pos为-1或者链表中的一个 有效索引 。
解题思路
判断单链表中是否包含环,经典解法就是双指针,一个跑得快,一个跑得慢。如果不含有环,跑得快的那个指针最终会遇到null,说明链表不含环;如果含有环,快指针最终会超慢指针1圈,和慢指针相遇,说明链表有环。
这里的快指针每次移动的距离都是慢指针的两倍。
class Solution {public:bool hasCycle(ListNode *head) {ListNode* fast = head;ListNode* slow = head;while(fast != NULL && fast->next != NULL) {fast = fast->next->next;slow = slow->next;if(fast == slow) return true;}return false;}};
142. 环形链表 II
给定一个链表,返回链表开始入环的第一个节点。 如果链表无环,则返回
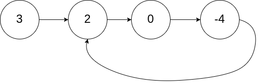
null。 为了表示给定链表中的环,我们使用整数pos来表示链表尾连接到链表中的位置(索引从 0 开始)。 如果pos是-1,则在该链表中没有环。注意,pos仅仅是用于标识环的情况,并不会作为参数传递到函数中。 说明:不允许修改给定的链表。 进阶:你是否可以使用O(1)空间解决此题? 示例 1:输入:head = [3,2,0,-4], pos = 1 输出:返回索引为 1 的链表节点 解释:链表中有一个环,其尾部连接到第二个节点。 示例 2:
输入:head = [1,2], pos = 0 输出:返回索引为 0 的链表节点 解释:链表中有一个环,其尾部连接到第一个节点。 示例 3:
输入:head = [1], pos = -1 输出:返回 null 解释:链表中没有环。 提示:
- 链表中节点的数目范围在范围
[0, 10]内-10 <= Node.val <= 10pos的值为-1或者链表中的一个有效索引
解题思路
和上题不同的是,这题需要解决的问题是:如果链表中有环,则需要输出的是开始入环的第一个节点。
同样使用快慢指针,如果有环,两个指针一定会相遇,但是相遇点不一定是入环的起点。
假设第一次相遇时,满指针slow走了k步,那么因为快指针每次移动的距离都是慢指针的两倍,所以快指针一定走了2k步,也就是说比slow多走了k步。
设相遇点与环的起点的距离为m,那么环的起点与头节点head的距离为k-m,也就是说从head前进k-m步就能到达环起点。
而与此同时,如果从相遇点继续前进k-m步,也恰好到达环起点。
所以,相遇时,只要把快、慢指针中的任意一个重新指向head,然后两个指针同速前进,k-m步后就会相遇,相遇之处就是环的起点。
class Solution {public:ListNode *detectCycle(ListNode *head) {ListNode *fast = head;ListNode *slow = head;bool hasCycle = false;while (fast != NULL && fast->next != NULL) {fast = fast->next->next;slow = slow->next;if(fast == slow) {//相遇点hasCycle = true;break;}}if(!hasCycle) return NULL;//先把其中一个指针重新指向headslow = head;while(slow != fast) {fast = fast->next;//两个指针以相同的速度前进slow = slow->next;}//两个指针相遇的那个单链表结点就是环的起点return slow;}};
输入:head = [3,2,0,-4], pos = 1
输出:true
解释:链表中有一个环,其尾部连接到第二个节点。
示例 2:
输入:head = [1,2], pos = 0
输出:true
解释:链表中有一个环,其尾部连接到第一个节点。
示例 3:
输入:head = [1], pos = -1
输出:false
解释:链表中没有环。
提示:
输入:head = [3,2,0,-4], pos = 1
输出:返回索引为 1 的链表节点
解释:链表中有一个环,其尾部连接到第二个节点。
示例 2:
输入:head = [1,2], pos = 0
输出:返回索引为 0 的链表节点
解释:链表中有一个环,其尾部连接到第一个节点。
示例 3:
输入:head = [1], pos = -1
输出:返回 null
解释:链表中没有环。
提示: