589. N叉树的前序遍历
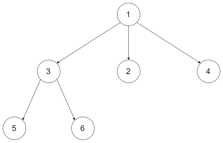
给定一个 N 叉树,返回其节点值的前序遍历。 例如,给定一个
3叉树:返回其前序遍历:
[1,3,5,6,2,4]。 说明: 递归法很简单,你可以使用迭代法完成此题吗?
解题思路
class Solution {public:vector<int> Vec;vector<int> preorder(Node* root) {Vec.clear();preTra(root);return Vec;}void preTra(Node* root) {if(root == NULL)return;Vec.push_back(root->val);for(int i=0;i<root->children.size();i++){preTra(root->children[i]);}}};
返回其前序遍历: 