111. 二叉树的最小深度
给定一个二叉树,找出其最小深度。 最小深度是从根节点到最近叶子节点的最短路径上的节点数量。 说明: 叶子节点是指没有子节点的节点。 示例: 给定二叉树
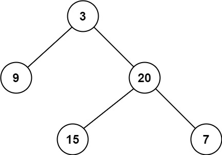
[3,9,20,null,null,15,7],返回它的最小深度 2
解题思路1-DFS
和【 二叉树的最大深度 】这题有所不同,这里需要注意的是当一个结点若其中一颗子树为空,则结点的最小深度并不是1,而是非空的那颗子树的最小深度
class Solution {public:int minDepth(TreeNode* root) {if(root == NULL)return 0;//当前结点的其中一棵子树为空,最小深度是另一颗子树的最小深度if(root->left == NULL && root->right != NULL)return minDepth(root->right) + 1;if(root->right == NULL && root->left != NULL)return minDepth(root->left) + 1;//要么两颗子树都为空,要么两颗子树都不为空return min( minDepth(root->left), minDepth(root->right) ) +1;}};
解题思路2-BFS
class Solution {
public:
int minDepth(TreeNode* root) {
if(root == NULL) return 0;
queue<TreeNode*> que;
que.push(root);
int minDep = 1;
TreeNode* front;
int sz;
while(!que.empty()) {
sz = que.size();
//将当前队列中的所有结点(即同一环同一层的结点)向四周扩散
for (int i = 0;i < sz;i++) {
front = que.front();
que.pop();
//判断是否到达最近的叶子结点
if(front->left == NULL && front->right == NULL)
return minDep;
//将front的相邻结点加入到队列中
if(front->left != NULL )
que.push(front->left);
if(front->right != NULL)
que.push(front->right);
}
minDep++; //增加步数
}
return minDep;
}
};
BFS借助队列做到一步一步“齐头并进”,是可以在还没遍历完整颗树的时候就找到最短距离的。
DFS也能找到最短路径,但是实际上比BFS低效得多,因为DFS实际上是靠递归得堆栈记录走过的记录的,要找最短路径,则需要把二叉树中所有树杈都探索完,然后才能对比出最短路径有多长。
返回它的最小深度 2