秃头

白天 夜间 首页 下载 阅读记录
  我的书签   添加书签   移除书签

积分

浏览 132 扫码 分享 2023-11-22 00:26:32
  • 反导数
  • 不定积分法则

    反导数

    积分 - 图1
    积分 - 图2

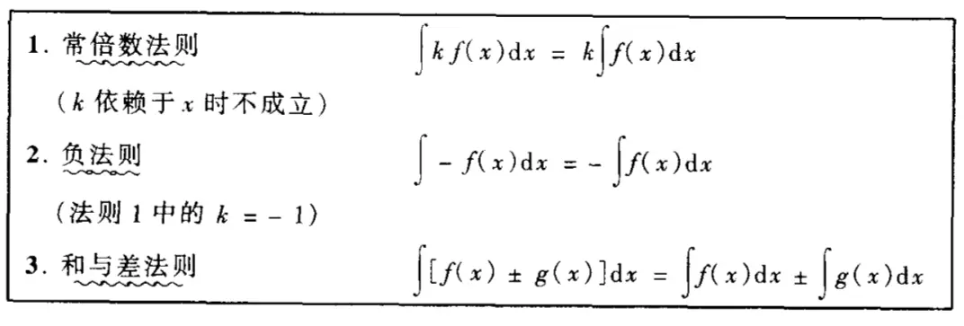
    不定积分法则

    积分 - 图3

    若有收获,就点个赞吧

    0 人点赞

    上一篇:
    下一篇:
    • 书签
    • 添加书签 移除书签
    • Calculus
      • 微积分预备知识
      • 集合与映射
      • 函数
      • 极限
      • 数列及其极限
      • 导数
      • 定积分
      • 积分
      • 连续函数
      • 数列的极限
      • 导数2
      • 函数极限
    • LinearAlgebra
      • 向量
      • 线性代数——(4)行列式
      • 线性代数——(3)矩阵
      • 线性代数——(2)线性方程组
    • 概率与数理统计
      • 概率论——(1)随机事件与概率
      • 概率论——(2)等可能概率(古典概率)
      • 概率论——(3)条件概率
      • 概率论——(4)二项式概率
      • 概率论——(5)离散型分布
      • 概率论——(6)连续随机变量分布
    • 机器学习
      • 机器学习——开源资料推荐
      • 评价指标
      • k近邻算法kNN
      • Matplotlib的使用
        • Matplotlib
      • 机器学习概念
    • NLP
      • 词向量
      • 词法分析
      • 指代消解
      • 意识识别和槽值填充
      • 文本相似度
      • 问答系统QA
      • 任务型对话
      • 开源资料汇总
      • 结构化数据问答
        • fasttext
    • 智能外呼
      • FreeSWITCH——安装
      • FreeSWITCH——fs_cli
      • FreeSWITCH——配置
      • FreeSWITCH——SIP
      • FreeSWITCH——EventSocketLibrary(ESL)
      • FreeSWITCH——Modules
      • FreeSWITCH——Event
      • Freeswitch——Dialplan
      • FreeSWITCH——playback
      • FreeSwitch——originate
      • FreeSWITCH——python
      • Gateway
      • VoIP
      • IVR
      • UniMRCP Server
    暂无相关搜索结果!

      让时间为你证明

      展开/收起文章目录

      分享,让知识传承更久远

      文章二维码

      手机扫一扫,轻松掌上读

      文档下载

      请下载您需要的格式的文档,随时随地,享受汲取知识的乐趣!
      PDF文档 EPUB文档 MOBI文档

      书签列表

        阅读记录

        阅读进度: 0.00% ( 0/0 ) 重置阅读进度

          思维导图备注