随机试验

概率论——(1)随机事件与概率 - 图1

样本空间

概率论——(1)随机事件与概率 - 图2

随机事件

必然事件和随机事件

随机试验

样本空间
概率论——(1)随机事件与概率 - 图3
随机事件
概率论——(1)随机事件与概率 - 图4

事件的相互关系

包含和相等
概率论——(1)随机事件与概率 - 图5
概率论——(1)随机事件与概率 - 图6
和事件
概率论——(1)随机事件与概率 - 图7
积事件
概率论——(1)随机事件与概率 - 图8
差事件
概率论——(1)随机事件与概率 - 图9
对立事件(逆事件)
概率论——(1)随机事件与概率 - 图10

韦恩图

概率论——(1)随机事件与概率 - 图11

事件的运算定律

概率论——(1)随机事件与概率 - 图12

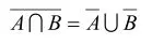
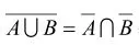
德摩根律

A,B中至少一件发生的否——A,B都没发生——A没发生且B没发生
概率论——(1)随机事件与概率 - 图13
A,B均发生的否——任意AorB未发生
概率论——(1)随机事件与概率 - 图14

频率

概率论——(1)随机事件与概率 - 图15

频率性质

概率论——(1)随机事件与概率 - 图16

概率

概率的加法公式

概率论——(1)随机事件与概率 - 图17