瞬时速度
假设我们想求解汽车在时刻t0的瞬时速度,光盯着这个时刻是没有办法求解的,因为汽车在某一时刻的位置是确定的,我们需要把时间延伸到时刻t1。假设汽车行驶的位移公式为[插图]。
时间从t0到t1,时间的变化量[插图],对应的行驶距离表示为[插图],因此[插图]就是时刻t0到t1的平均速度。一个合理的想法是,Δt越小,[插图]这个平均速度就越接近于时刻t0的瞬时速度。我们观察[插图]:当Δt不为0时,可得[插图]。当Δt不断变小且无限接近于0的时候,上述平均速度[插图]就无限接近于2t0这一定值。我们就可以认为当Δt无限趋近于0时,平均速度[插图]无限趋近的数值2t0就是时刻t0的瞬时速度值,也称为函数在该点的导数。概括地讲,导数描述了自变量的微小变化导致因变量微小变化的关系。
常数的导数

常数函数的值永远不变以及水平线在每点的斜率都为0.
正整数幂法导数

乘常数导数

导数和

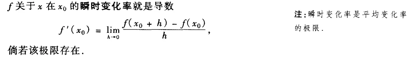
瞬时变化率

数率
数率是速度的绝对值
导数的积

##导数的商
正弦函数
正弦函数的导数是余弦函数
余弦函数


链式法则


