增函数与减函数
如果当你从左走向右的时,函数的图像是往上爬或者升高的,称之为增函数,当你从左走向右的,函数的图像是下降或者下落的,则成为减函数。
偶函数与奇函数

偶函数的图形是关于y轴对称的,奇函数是关于原点对称的。
复合函数

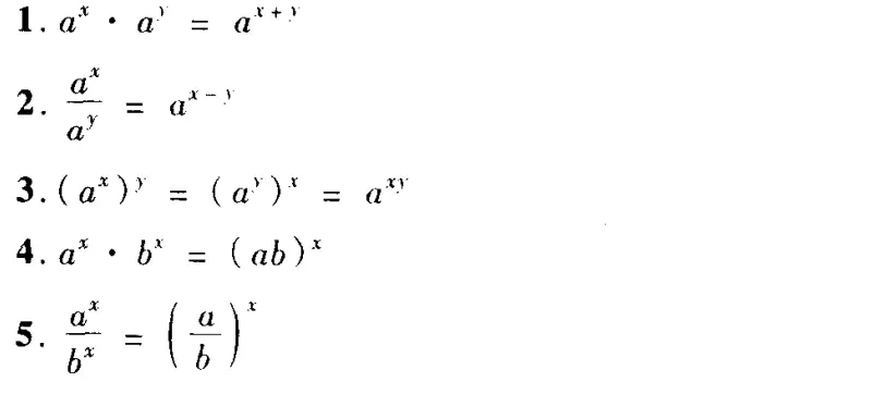
##指数函数
####指数法则
指数函数ex

反函数
一对一函数
函数f(x)在定义域D上是一对一的,若每当a≠b时 f(a)≠f(b)
水平直线法则
一对一函数y= f(x)的图形与任何水平直线相交至多一次。如果它与水平直线相交多于两次,那么该函数不是一对一的
反函数测试

对数函数

对数的性质

