最大二叉树
原题:
给定一个不含重复元素的整数数组 nums 。一个以此数组直接递归构建的 最大二叉树 定义如下:
- 二叉树的根是数组
nums中的最大元素。 - 左子树是通过数组中 最大值左边部分 递归构造出的最大二叉树。
- 右子树是通过数组中 最大值右边部分 递归构造出的最大二叉树。
返回有给定数组 nums 构建的 最大二叉树 。
示例 1: 
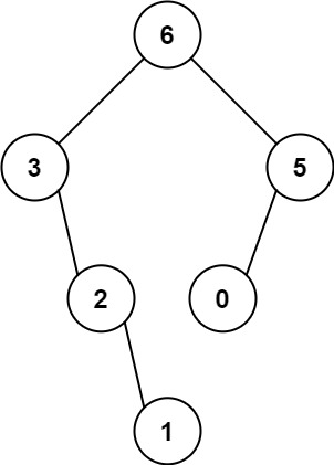
输入:nums = [3,2,1,6,0,5]输出:[6,3,5,null,2,0,null,null,1]解释:递归调用如下所示:- [3,2,1,6,0,5] 中的最大值是 6 ,左边部分是 [3,2,1] ,右边部分是 [0,5] 。- [3,2,1] 中的最大值是 3 ,左边部分是 [] ,右边部分是 [2,1] 。- 空数组,无子节点。- [2,1] 中的最大值是 2 ,左边部分是 [] ,右边部分是 [1] 。- 空数组,无子节点。- 只有一个元素,所以子节点是一个值为 1 的节点。- [0,5] 中的最大值是 5 ,左边部分是 [0] ,右边部分是 [] 。- 只有一个元素,所以子节点是一个值为 0 的节点。- 空数组,无子节点。
示例 2: 
输入:nums = [3,2,1]
输出:[3,null,2,null,1]
提示:
1 <= nums.length <= 10000 <= nums[i] <= 1000nums中的所有整数 互不相同
解题方法:
解法一:
class Solution {
public:
unordered_map<int,int> Index;
TreeNode* constructMaximumBinaryTree(vector<int>& nums) {
int n=nums.size();
for(int i=0;i<n;i++)
Index[nums[i]]=i;
return MyBuildTree(nums,0,n-1);
}
TreeNode* MyBuildTree(const vector<int>& nums,int in_left,int in_right)
{
if(in_left>in_right)
return nullptr;
int maxval=INT_MIN;
for(int i=in_left;i<=in_right;i++)
{
maxval=max(maxval,nums[i]);
}
int in_left_size=Index[maxval];
auto root=new TreeNode(maxval);
root->left=MyBuildTree(nums,in_left,in_left_size-1);
root->right=MyBuildTree(nums,in_left_size+1,in_right);
return root;
}
};
做题小结:
这道题做的时候很蠢,导致卡了很久,蠢就蠢在一直想把nums排序然后当成前序数组来照搬前序和中序建树的代码。但是完全忽略了,这道题的最值应该在每一部分去找最值,而不是挨着挪用全局的最值!
