平衡二叉树
原题:
给定一个二叉树,判断它是否是高度平衡的二叉树。
本题中,一棵高度平衡二叉树定义为:
一个二叉树每个节点 的左右两个子树的高度差的绝对值不超过 1 。
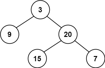
示例 1: 
输入:root = [3,9,20,null,null,15,7]输出:true
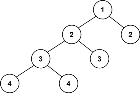
示例 2: 
输入:root = [1,2,2,3,3,null,null,4,4]
输出:false
示例 3:
输入:root = []
输出:true
提示:
- 树中的节点数在范围
[0, 5000]内 -104 <= Node.val <= 104
解题方法:
解法一:
class Solution {
public: //计算每个节点左右子树的深度,如果有一个结点左右子树深度差大于1则返回false
bool isBalanced(TreeNode* root) {
if(!root) return true;
return (abs(depth(root->left)-depth(root->right))<=1)&&isBalanced(root->left)&&isBalanced(root->right);
}
int depth(TreeNode* root)
{
if(!root) return 0;
int L=depth(root->left);
int R=depth(root->right);
return max(L,R)+1;
}
};
解法二(自底向上的递归):
class Solution {
public: //计算每个节点左右子树的深度,如果有一个结点左右子树深度差大于1则返回false
bool isBalanced(TreeNode* root) {
if(!root) return true;
return (depth(root)!=-1);
}
int depth(TreeNode* root)
{
if(!root) return 0;
int L=depth(root->left);
int R=depth(root->right);
return ((R!=-1)&&(L!=-1)&&abs(L-R)<2)?max(L,R)+1:-1;
}
};
做题小结:
针对解法一:
- 这种解法是我自己想出来的,即对每一结点,求其左右的深度,然后左右深度之差只要大于1了,就返回false。但这种解法空间复杂度虽然比较低,但是时间复杂度太高,达到了O(n^2),因此需要优化(这么写是拿不到offer的!!)
- 在官网解法看到了这种解法名为自顶向下的递归解法
针对解法二:
- 解法二使用的方法其实像后序遍历,从子节点开始检查以子节点为根的树是否为平衡树,如果有一个子节点为根的树不为平衡树,那么整棵树就不是平衡树,就可以直接返回,免去了依次检测的必要
- 可以在return时活用&&,免去使用if的必要,来加快速度
