路经总和
原题:
给你二叉树的根节点 root 和一个表示目标和的整数 targetSum ,判断该树中是否存在 根节点到叶子节点 的路径,这条路径上所有节点值相加等于目标和 targetSum 。
叶子节点 是指没有子节点的节点。
示例 1: 
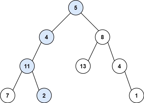
输入:root = [5,4,8,11,null,13,4,7,2,null,null,null,1], targetSum = 22输出:true
示例 2: 
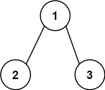
输入:root = [1,2,3], targetSum = 5输出:false
示例 3:
输入:root = [1,2], targetSum = 0输出:false
提示:
- 树中节点的数目在范围
[0, 5000]内 -1000 <= Node.val <= 1000-1000 <= targetSum <= 1000
解题方法:
解法一:
class Solution {public:vector<int> targetvec;bool hasPathSum(TreeNode* root, int targetSum) {if(!root) return false;if(!root->left&&!root->right&&root->val==targetSum) return true;//如果root本身为叶结点的判断TreeNode* lastnode=root;//注意!lastnode不应该是全局变量Sum(root->left,lastnode);Sum(root->right,lastnode);for(int i=0;i<targetvec.size();i++){if(targetvec[i]==targetSum) return true;}return false;}void Sum(TreeNode* node,TreeNode* lastnode){if(!node) return;node->val+=lastnode->val;if(!node->left&&!node->right) //两个if条件有区别!{targetvec.push_back(node->val);}lastnode=node; //lastnode指向下一节点Sum(node->left,lastnode);Sum(node->right,lastnode);}};
解法二(BFS):
class Solution {
public:
bool hasPathSum(TreeNode *root, int sum) {
if (root == nullptr) {
return false;
}
queue<TreeNode *> que_node;
queue<int> que_val;
que_node.push(root);
que_val.push(root->val);
while (!que_node.empty()) {
TreeNode *now = que_node.front();
int temp = que_val.front();
que_node.pop();
que_val.pop();
if (now->left == nullptr && now->right == nullptr) {
if (temp == sum) {
return true;
}
continue;
}
if (now->left != nullptr) {
que_node.push(now->left);
que_val.push(now->left->val + temp);
}
if (now->right != nullptr) {
que_node.push(now->right);
que_val.push(now->right->val + temp);
}
}
return false;
}
};
解法三(官方递归):
class Solution {
public:
bool hasPathSum(TreeNode *root, int sum) {
if (root == nullptr) {
return false;
}
if (root->left == nullptr && root->right == nullptr) {
return sum == root->val;
}
return hasPathSum(root->left, sum - root->val) ||
hasPathSum(root->right, sum - root->val);
}
};
做题小结:
针对解法一:
- root本身为nullptr和root本身为叶结点的情况一定要考虑清楚!
- 千万要注意不能随便声明全局变量,特别是在有递归的情况下,比如本题如果lastnode被声明为全局变量,那么lastnode的值就会随着遍历的顺序走(如到了左节点,lastnode等于该左节点,到右结点时,右结点对应的lastnode就成了左节点,发生错误)。所以lastnode应该是局部变量,跟随递归。
- 注意Sum函数中,两个if条件有区别的,必须是满足第二个if的才能是叶结点
- 可以考虑在Sum函数中第二个if处直接判断,而不是放进向量中,来减少空间复杂度
- 自己做出来真开心!
针对解法二:
- 这是官方的解法,之前我也有考虑过用一个队列存储值,但是就是不知道怎么同步,将值与结点对应起来,现在发现仅仅只需要用两个队列就够了
- 或者也可以直接采用C++容器中的pair
针对解法三:
- 太巧妙了,直接用sum-root->val来转换为对每个节点本身的值进行判断,不需要像我的递归那样麻烦(我的递归是算出每个节点的和来进行对应)
要注意区分什么时候递归该有返回值,什么时候不该有
- 如果要搜索整棵树,那么递归函数就不需要返回值
- 如果只需要找到符合条件的一部分,那么递归函数就需要一个返回值, 因为遇到符合条件的路径了就要及时返回。
- 这道题还有一个很重要的地方就是回溯,回溯用于撤消处理结果,像解法一中的lastnode实际上就是为了回溯而存在,如果它为全局变量则无法回溯。而解法三中的回溯则在sum上。
