跟李沐学AI

06 矩阵计算

image.pngimage.png
标量y对标量x求导,结果是标量;
标量y对向量x求导,结果是行向量;
向量y对标量x求导,结果是列向量;
向量y对向量x求导,结果是矩阵。
image.png

这一节主要讲解不同形式(标量、向量、矩阵)输入输出求导后,获得的结果形式。

07 自动求导

链式求导

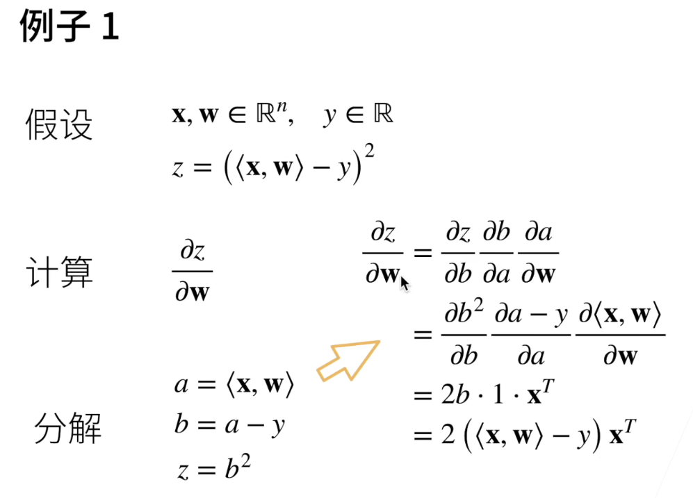
image.pngimage.png

将高等数学中的链式求导主要指标量之间,但我们可以推广到向量、矩阵上。

符号求导、数值求导

image.png

计算图

image.pngimage.png
image.png

BP

image.png

image.pngimage.png

image.png