无向图模型

image.png

  • 12周笔记 - 图2
  • Model: 12周笔记 - 图3z(w)是归一化因子,E是能量函数
  • Example: 12周笔记 - 图4
  • 12周笔记 - 图5
    12周笔记 - 图6
    12周笔记 - 图7
    前者来自模型,后者来自数据
  • 随机梯度下降
    example:
    12周笔记 - 图8
    12周笔记 - 图9
    12周笔记 - 图10
    image.png

    带隐变量的无向图模型

  • 12周笔记 - 图12

  • model: 12周笔记 - 图13
  • 12周笔记 - 图14两边同时求导
    12周笔记 - 图15
    12周笔记 - 图16
    (1)代入(2)得12周笔记 - 图17
    12周笔记 - 图18
  • 可以使用MLE或者EM求解

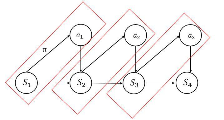
    强化学习

    image.png

  • 状态空间STATE:12周笔记 - 图20

  • 动作空间ACTION:12周笔记 - 图21
  • 策略Policy: 12周笔记 - 图22
  • 环境动力学模型:12周笔记 - 图23
  • 一条运动轨迹:12周笔记 - 图24

image.png
目标函数:12周笔记 - 图26
image.png