PMF

  1. PMF是再正则化矩阵分解的基础上, 引入了概率模型
  2. 用特征矩阵去预测评分矩阵中的未知值 (特诊矩阵要符合高斯分布5
  3. 基于概率的矩阵分解实在基于正则的矩阵分解的基础上引入了概率模型

    场景

    用户-物品评分矩阵R, 此矩阵数据非常稀疏 会这样处理
    image.png

    PMF基于假设

  4. 频分矩阵R 和近似评分矩阵image.png之差符合高斯分布

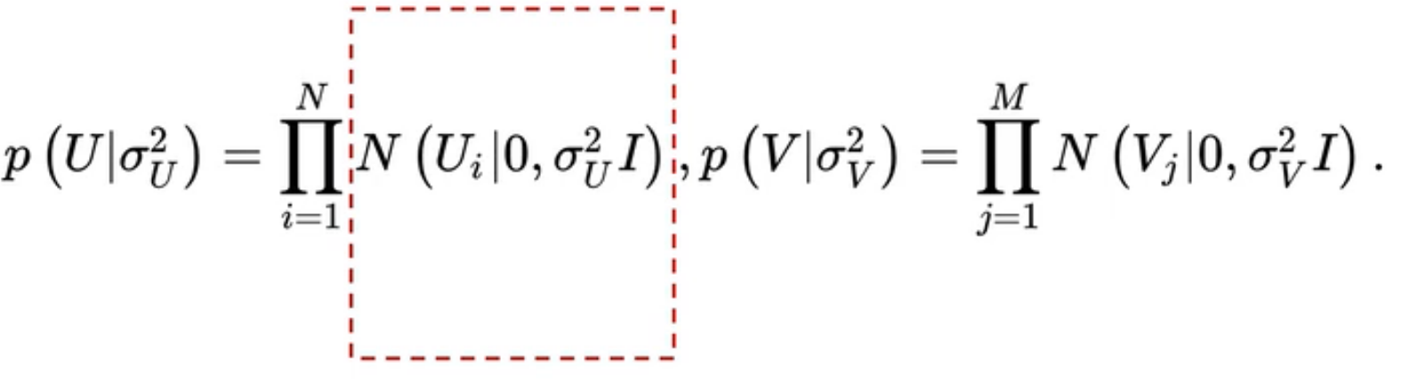
  5. 用户特征矩阵U和物品特征矩阵V均符合高斯分布

通过第一个假设 得出评分矩阵R的条件概率
image.png
通过第二个假设得出用户U 物品V的条件概率
image.png
通过贝叶斯公式的到R,U,V 的联合分布
image.png
用求得的特诊矩阵U, V去预测评分矩阵R的未知值