常用值
均值
- 均值 (受到极端数据的影响)
- 算术平均数
- 加权平均数
-
数学期望
实验中每次可能的结果的概率乘以其结果的总和
反映随机变量平均取值的大小
- 列子 掷骰子 期望值等于
离散型变量: 取值可以一一列出 且总数确定
- 连续型变量: 取值无法一一列出 且总数不确定
- 概率分布: 给出了所有值及其概率 只对离散型变量有意义
- 概率函数 是对概率分布的描述 支队离散型变量有关系
- 概率分布函数: 给出了x落在某区间内的概率
-
均匀分布
-
高斯分布
集中性:正态曲线的高峰位于正中央,即均数所在的位置。
对称性:正态曲线以均数为中心,左右对称,曲线两端永远不与横轴相交。
均匀变动性:正态曲线由均数所在处开始,分别向左右两侧逐渐均匀下降。
曲线与横轴间的面积总等于1,相当于概率密度函数的函数从正无穷到负无穷积分的概率为1。即频率的总和为100%。
正态分布有两个参数,即期望(均数)μ和标准差σ,σ2为方差。
正态分布具有两个参数μ和σ^2的连续型随机变量的分布,第一参数μ是服从正态分布的随机变量的均值,第二个参数σ^2是此随机变量的方差,所以正态分布记作N(μ,σ2)。
μ是正态分布的位置参数,描述正态分布的集中趋势位置。概率规律为取与μ邻近的值的概率大,而取离μ越远的值的概率越小。正态分布以X=μ为对称轴,左右完全对称。正态分布的期望、均数、中位数、众数相同,均等于μ。
σ描述正态分布资料数据分布的离散程度,σ越大,数据分布越分散,σ越小,数据分布越集中。也称为是正态分布的形状参数,σ越大,曲线越扁平,反之,σ越小,曲线越瘦高。
中心极限定理
- 大量相互独立的随机变量当采样次数足够大 不管随机变量呈现什么分布 抽取样本的均值无限接近正太分布
置信区间
标准正太分布是均值为0 标准差为1
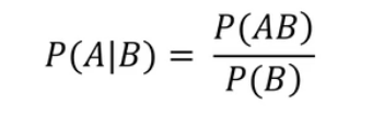
条件概率公式
A,B 是两个事件 在B发生的条件下 A发生的概率
读作 A在B发生的条件下发生的概率
贝叶斯公式
建立在·条件概率上寻找事件发生的原因


