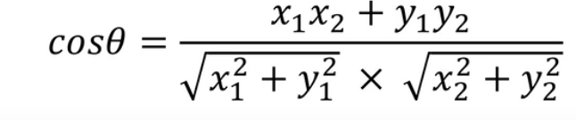
余弦
余弦相似度
余弦值越接近1 表明夹角越接近0 则两个向量越相似
公式
坐标表示

余弦相似度只与向量方向有关 但向量在某个维度会有数据缺失
皮尔逊相关系数
- 皮尔逊相关稀疏是余弦相似度在维度确实情况下的一种改进
- 每个向量的每个维度都减去一个平均值 称为中心化
皮尔逊相关系数是在计算余弦值之前对每个向量进行中心化
应用场景
文本相似度
- 用户相似度
物品相似度
相似相似度算法有很多
余弦相似度
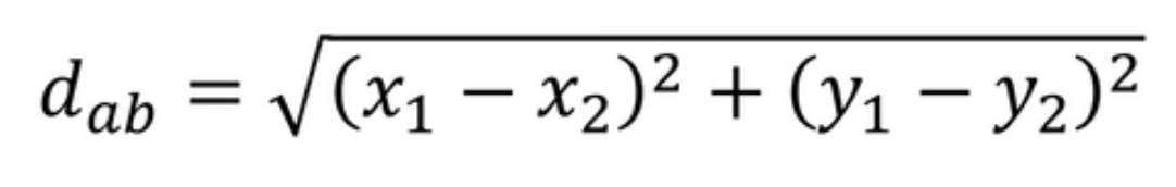
欧式距离
余弦相似度和欧式距离区别
欧式距离体现个体数值特征的绝对差异
- 余弦相似度是从方向上区分差异, 对绝对数值特征不敏感
- 余弦相似度 : 用户兴趣相似度 欧式距离: 用户行为指标相似度