SVM(Support Vector Machine)一般用来做分类任务
1、hard-margin svm (硬间隔分类器)
解决的是线性可分的问题。
1.1基本型:

在求解最优化问题中,拉格朗日乘子法(Lagrange Multiplier)和KKT(Karush Kuhn Tucker)条件是两种最常用的方法。在有等式约束时使用拉格朗日乘子法,在有不等约束时使用KKT条件。
1.2 拉格朗日乘子法
1.3 KKT条件
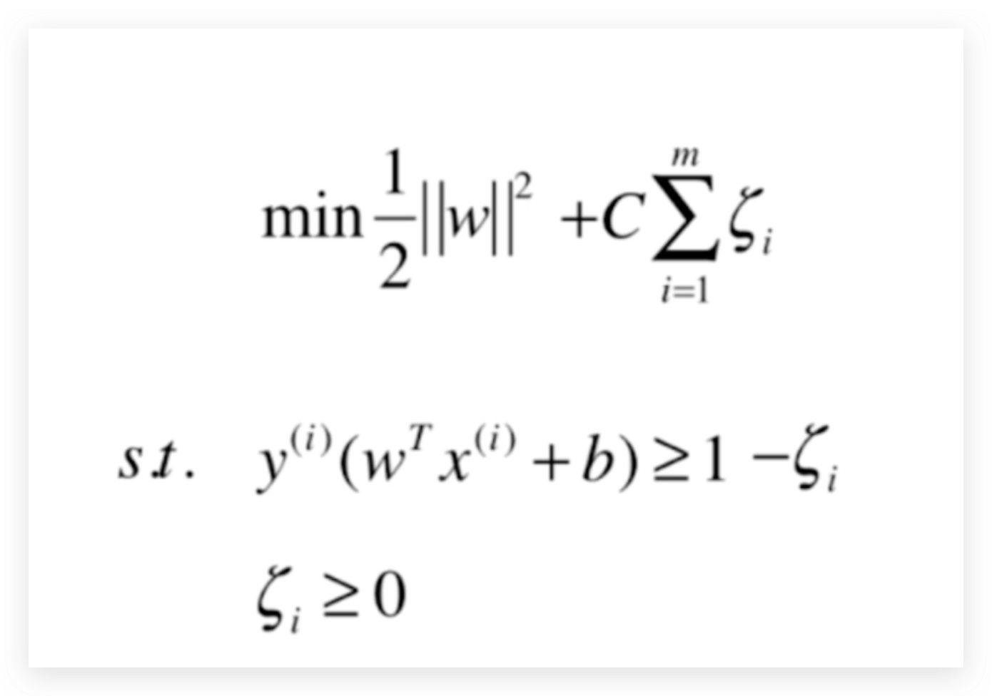
2、soft-margin svm(软件隔分类器)
2.1基本型:

3、核函数
3.1 高斯核函数
超参数:gamma 越大,数据越集中;gamma越小,数据越分散
