1, 题目
编写一个程序,找到两个单链表相交的起始节点。
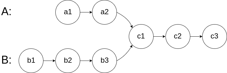
如下面的两个链表:
在节点 c1 开始相交。
示例 1:
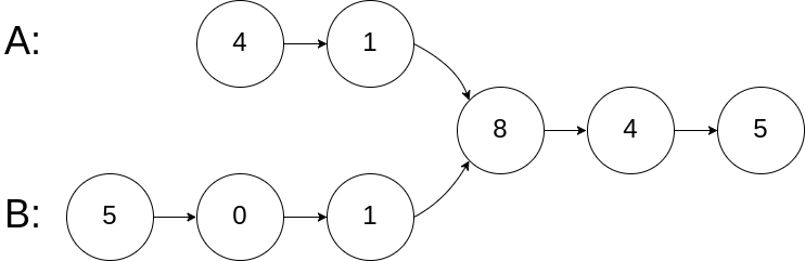
输入:intersectVal = 8, listA = [4,1,8,4,5], listB = [5,0,1,8,4,5], skipA = 2, skipB = 3输出:Reference of the node with value = 8输入解释:相交节点的值为 8 (注意,如果两个列表相交则不能为 0)。从各自的表头开始算起,链表 A 为 [4,1,8,4,5],链表 B 为 [5,0,1,8,4,5]。在 A 中,相交节点前有 2 个节点;在 B 中,相交节点前有 3 个节点。
示例 2:
输入:intersectVal = 2, listA = [0,9,1,2,4], listB = [3,2,4], skipA = 3, skipB = 1输出:Reference of the node with value = 2输入解释:相交节点的值为 2 (注意,如果两个列表相交则不能为 0)。从各自的表头开始算起,链表 A 为 [0,9,1,2,4],链表 B 为 [3,2,4]。在 A 中,相交节点前有 3 个节点;在 B 中,相交节点前有 1 个节点。
示例 3:
输入:intersectVal = 0, listA = [2,6,4], listB = [1,5], skipA = 3, skipB = 2输出:null输入解释:从各自的表头开始算起,链表 A 为 [2,6,4],链表 B 为 [1,5]。由于这两个链表不相交,所以 intersectVal 必须为 0,而 skipA 和 skipB 可以是任意值。解释:这两个链表不相交,因此返回 null。
注意:
如果两个链表没有交点,返回 null.
在返回结果后,两个链表仍须保持原有的结构。
可假定整个链表结构中没有循环。
程序尽量满足 O(n) 时间复杂度,且仅用 O(1) 内存。
来源:力扣(LeetCode)
链接:https://leetcode-cn.com/problems/intersection-of-two-linked-lists
著作权归领扣网络所有。商业转载请联系官方授权,非商业转载请注明出处。
2, 算法
object Solution {def getIntersectionNode(headA: ListNode, headB: ListNode): ListNode = {val lenA = len(headA)val lenB = len(headB)val shortHead = if (lenA < lenB) headA else headBval longHead = if (lenA < lenB) headB else headAvar shortCurrentNode = shortHeadvar longCurrentNode = longHeadfor (i <- Range(0, (lenA - lenB).abs)) {longCurrentNode = longCurrentNode.next}while (shortCurrentNode != longCurrentNode) {shortCurrentNode = shortCurrentNode.nextlongCurrentNode = longCurrentNode.next}shortCurrentNode}def len(head: ListNode): Int = {var len = 0var tmp = headwhile (tmp != null) {tmp = tmp.nextlen += 1}len}}
class Solution:def getIntersectionNode(self, headA: ListNode, headB: ListNode) -> ListNode:lenA = self.len(headA)lenB = self.len(headB)if lenA < lenB:short_head = headAlong_head = headBelse:short_head = headBlong_head = headAcurrent_node_short = short_headcurrent_node_long = long_headfor i in range(abs(lenA - lenB)):current_node_long = current_node_long.nextwhile current_node_long != current_node_short:current_node_long = current_node_long.nextcurrent_node_short = current_node_short.nextreturn current_node_shortdef len(self, head: ListNode) -> int:l = 0while head:l += 1head = head.nextreturn l
