1, 题目
给定一个链表,判断链表中是否有环。
为了表示给定链表中的环,我们使用整数 pos 来表示链表尾连接到链表中的位置(索引从 0 开始)。 如果 pos 是 -1,则在该链表中没有环。
示例 1:
输入:head = [3,2,0,-4], pos = 1输出:true解释:链表中有一个环,其尾部连接到第二个节点。

示例 2:
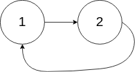
输入:head = [1,2], pos = 0输出:true解释:链表中有一个环,其尾部连接到第一个节点。

示例 3:
输入:head = [1], pos = -1输出:false解释:链表中没有环。

进阶:
你能用 O(1)(即,常量)内存解决此问题吗?
来源:力扣(LeetCode)
链接:https://leetcode-cn.com/problems/linked-list-cycle
著作权归领扣网络所有。商业转载请联系官方授权,非商业转载请注明出处。
2, 算法
一个走一步,一个走两步,有环必相遇
object Solution {def hasCycle(head: ListNode): Boolean = {try {var step1 = headvar step2 = head.nextwhile (step1 != step2) {step1 = step1.nextstep2 = step2.next.next}} catch {case e: NullPointerException => return false}true}}
class Solution:def hasCycle(self, head: ListNode) -> bool:try:step1 = headstep2 = head.nextwhile step1 is not step2:step1 = step1.nextstep2 = step2.next.nextreturn Trueexcept AttributeError:return False
