给定一个链表,判断链表中是否有环。
如果链表中有某个节点,可以通过连续跟踪 next 指针再次到达,则链表中存在环。 为了表示给定链表中的环,我们使用整数 pos 来表示链表尾连接到链表中的位置(索引从 0 开始)。 如果 pos 是 -1,则在该链表中没有环。注意:pos 不作为参数进行传递,仅仅是为了标识链表的实际情况。
如果链表中存在环,则返回 true 。 否则,返回 false 。
进阶:
你能用 O(1)(即,常量)内存解决此问题吗?
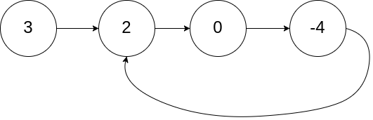
示例 1:
输入:head = [3,2,0,-4], pos = 1
输出:true
解释:链表中有一个环,其尾部连接到第二个节点。
示例 2:
输入:head = [1,2], pos = 0
输出:true
解释:链表中有一个环,其尾部连接到第一个节点。
示例 3:
输入:head = [1], pos = -1
输出:false
解释:链表中没有环。
提示:
链表中节点的数目范围是 [0, 104]
-105 <= Node.val <= 105
pos 为 -1 或者链表中的一个 有效索引 。
来源:力扣(LeetCode)
链接:https://leetcode-cn.com/problems/linked-list-cycle
著作权归领扣网络所有。商业转载请联系官方授权,非商业转载请注明出处。
方法一:利用给定条件
该方法需要修改节点,在实际上限制太多了,这里纯粹作为一个算法解法
/*** Definition for singly-linked list.* class ListNode {* int val;* ListNode next;* ListNode(int x) {* val = x;* next = null;* }* }*/public class Solution {public boolean hasCycle(ListNode head) {while(head != null){if(head.val == Integer.MAX_VALUE) return true;head.val = Integer.MAX_VALUE;head = head.next;}return false;}}
方法二:快慢指针-很巧妙
有一个慢指针和一个快指针,考虑两者都已经进入环的情况。当慢指针刚刚进入环的时候,快指针逆时针到慢快指针需要要跨越k个元素,那么现在要考虑的是如何缩小这k个元素的距离,可以设计每一步快指针都比慢指针多走一步,很明显最终这k个元素的距离将会变成0,两个指针相遇,表示有环。
/*** Definition for singly-linked list.* class ListNode {* int val;* ListNode next;* ListNode(int x) {* val = x;* next = null;* }* }*/public class Solution {public boolean hasCycle(ListNode head) {if(head != null){ListNode slow = head;ListNode fast = head;while(fast.next != null && fast.next.next != null){slow = slow.next;fast = fast.next.next;if(fast == slow) return true;}}return false;}}



