递归从入门到精通
递归入门
编写一个递归函数
- 这个递归函数的功能是什么,怎样调用这个函数,即设计好递归函数的返回值和参数列表
- 什么时候应该结束这个递归,它的边界条件(出口)是什么 (边界条件)
- 在非边界情况时,怎样从第n层转变成第n+1层 (递推公式)
计算阶乘(factorial)
!%20%26%20n%3E0%0A%5Cend%7Bcases%7D%0A#card=math&code=n%21%3D%5Cbegin%7Bcases%7D%0A1%20%26%20n%3D0%20%5C%5C%0An%2A%28n-1%29%21%20%26%20n%3E0%0A%5Cend%7Bcases%7D%0A&id=g0pQ5)
def fact(n: int) -> int:if n == 0:return 1return n * fact(n - 1)res = fact(4)print(res)
计算斐波那契数列
Fibonacci sequence:0, 1, 1, 2, 3, 5, 8, 13, 21, 34, ……
%3D%5Cbegin%7Bcases%7D%0A0%20%26%20n%3D0%20%5C%5C%0A1%20%26%20n%3D1%20%5C%5C%0Af(n-2)%2Bf(n-1)%20%26%20n%3E1%0A%5Cend%7Bcases%7D%0A#card=math&code=f%28n%29%3D%5Cbegin%7Bcases%7D%0A0%20%26%20n%3D0%20%5C%5C%0A1%20%26%20n%3D1%20%5C%5C%0Af%28n-2%29%2Bf%28n-1%29%20%26%20n%3E1%0A%5Cend%7Bcases%7D%0A&id=wH2z5)
def fibonacci(n: int) -> int:if n == 0:return 0if n == 1:return 1return fibonacci(n - 1) + fibonacci(n - 2)print(fibonacci(10))
计算最大公约数(辗转相除法)
gcd(12, 32) = 4gcd(a, b)gcd(32, 12)gcd(12, 8)gcd(8, 4)gcd(4, 0)
%3D%5Cbegin%7Bcases%7D%0Aa%20%26%20b%3D0%20%5C%5C%0Agcd(b%2Ca%20%5C%25%20b)%20%26%20b%5Cneq%200%0A%5Cend%7Bcases%7D%0A#card=math&code=gcd%28a%2Cb%29%3D%5Cbegin%7Bcases%7D%0Aa%20%26%20b%3D0%20%5C%5C%0Agcd%28b%2Ca%20%5C%25%20b%29%20%26%20b%5Cneq%200%0A%5Cend%7Bcases%7D%0A&id=CRawA)
def gcd(a: int, b: int) -> int:
if b == 0:
return a
return gcd(b, a % b)
ans = gcd(12, 32)
print(ans)
分治算法
分治法的设计思想:
- 分–将问题分解为规模更小的子问题;
- 治–将这些规模更小的子问题逐个击破;
- 合–将已解决的子问题合并,最终得出“母”问题的解;
- 减而治之(每次让问题的规模减1)
- 分而治之(每次让问题的规模减半)(归并排序的思想)
走楼梯
题目描述:
一个台阶总共有n级,如果一次可以跳1级,也可以跳2级。求总共有多少总跳法。
第一行输入T,表示有多少个测试数据。接下来T行,每行输入一个数n,表示台阶的阶数。
输出时每一行对应一个输出。
样例输入:
3
5
8
10
样例输出:
8
34
89
解析:
%3D%5Cbegin%7Bcases%7D%0A1%20%26%20n%3D1%20%5C%5C%0A2%20%26%20n%3D2%20%5C%5C%0Af(n-1)%2Bf(n-2)%20%26%20n%3E2%0A%5Cend%7Bcases%7D%0A#card=math&code=f%28n%29%3D%5Cbegin%7Bcases%7D%0A1%20%26%20n%3D1%20%5C%5C%0A2%20%26%20n%3D2%20%5C%5C%0Af%28n-1%29%2Bf%28n-2%29%20%26%20n%3E2%0A%5Cend%7Bcases%7D%0A&id=o7cpH)
参考代码:
def fibonacci(n: int) -> int:
if n == 1:
return 1
if n == 2:
return 2
return fibonacci(n - 1) + fibonacci(n - 2)
print(fibonacci(10))
归并排序

def mergeSort(list1: list, L: int, R: int):
if L >= R: # base case
return
M = L + (R - L) // 2
mergeSort(list1, L, M)
mergeSort(list1, M + 1, R)
mergeArray(list1, L, M, R)

# 归并排序
def mergeSort(list1: list, L: int, R: int):
if L >= R: # base case
return
M = L + (R - L) // 2
mergeSort(list1, L, M)
mergeSort(list1, M + 1, R)
mergeArray(list1, L, M, R)
def mergeArray(list1: list, L: int, M: int, R: int):
lenL = M - L + 1
lenR = R - M
lArray = [0 for _ in range(lenL)]
rArray = [0 for _ in range(lenR)]
for i in range(0, lenL):
lArray[i] = list1[L + i]
for j in range(0, lenR):
rArray[j] = list1[M + j + 1]
i = 0 # 初始化第一个子数组的索引
j = 0 # 初始化第二个子数组的索引
k = L # 初始归并子数组的索引
while i < lenL and j < lenR:
if lArray[i] <= rArray[j]:
list1[k] = lArray[i]
i += 1
else:
list1[k] = rArray[j]
j += 1
k += 1
# 拷贝 L[] 的保留元素
while i < lenL:
list1[k] = lArray[i]
i += 1
k += 1
# 拷贝 R[] 的保留元素
while j < lenR:
list1[k] = rArray[j]
j += 1
k += 1
list1 = [12, 11, 13, 5, 6, 7]
mergeSort(list1, 0, len(list1) - 1)
print(list1)
二叉树、树
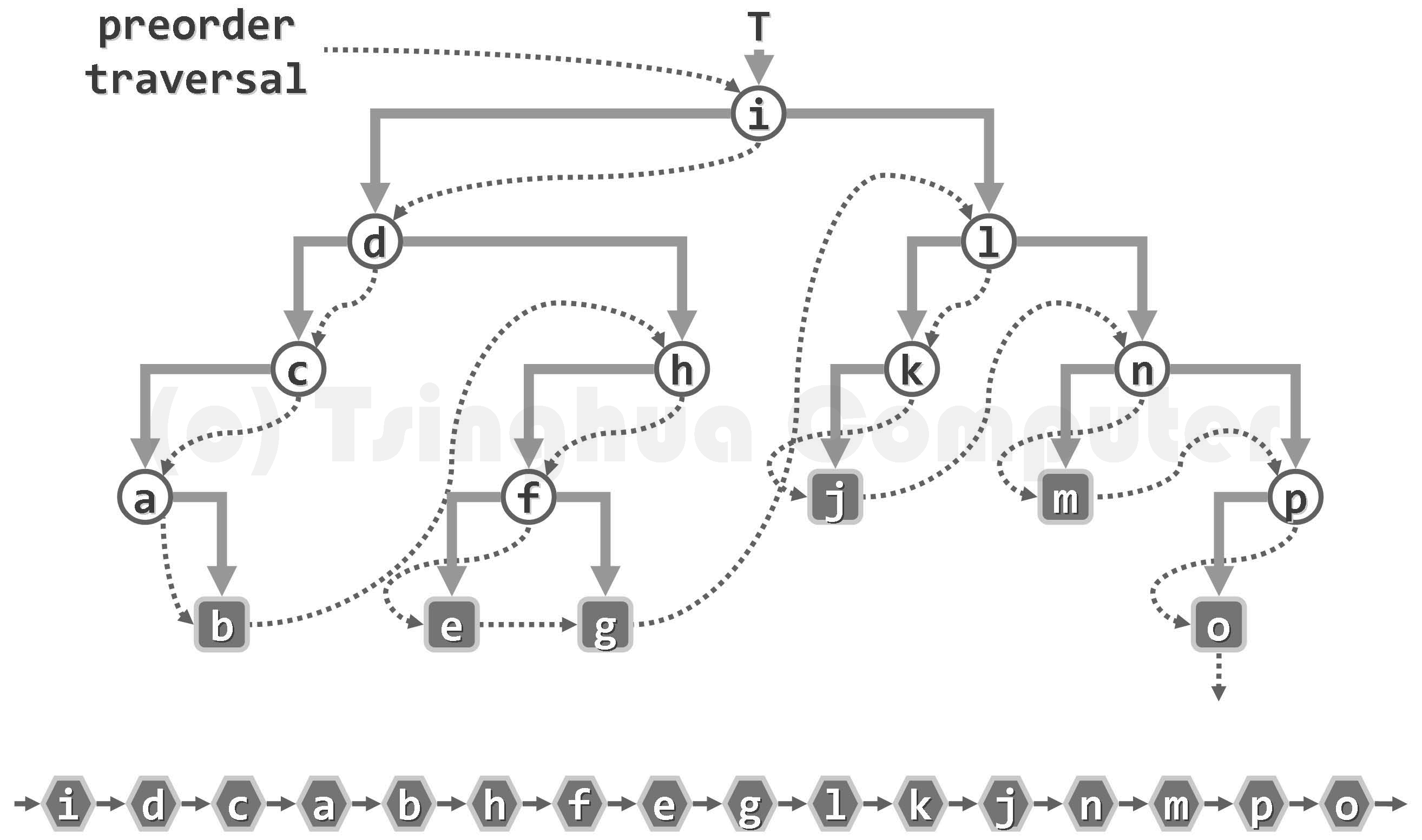
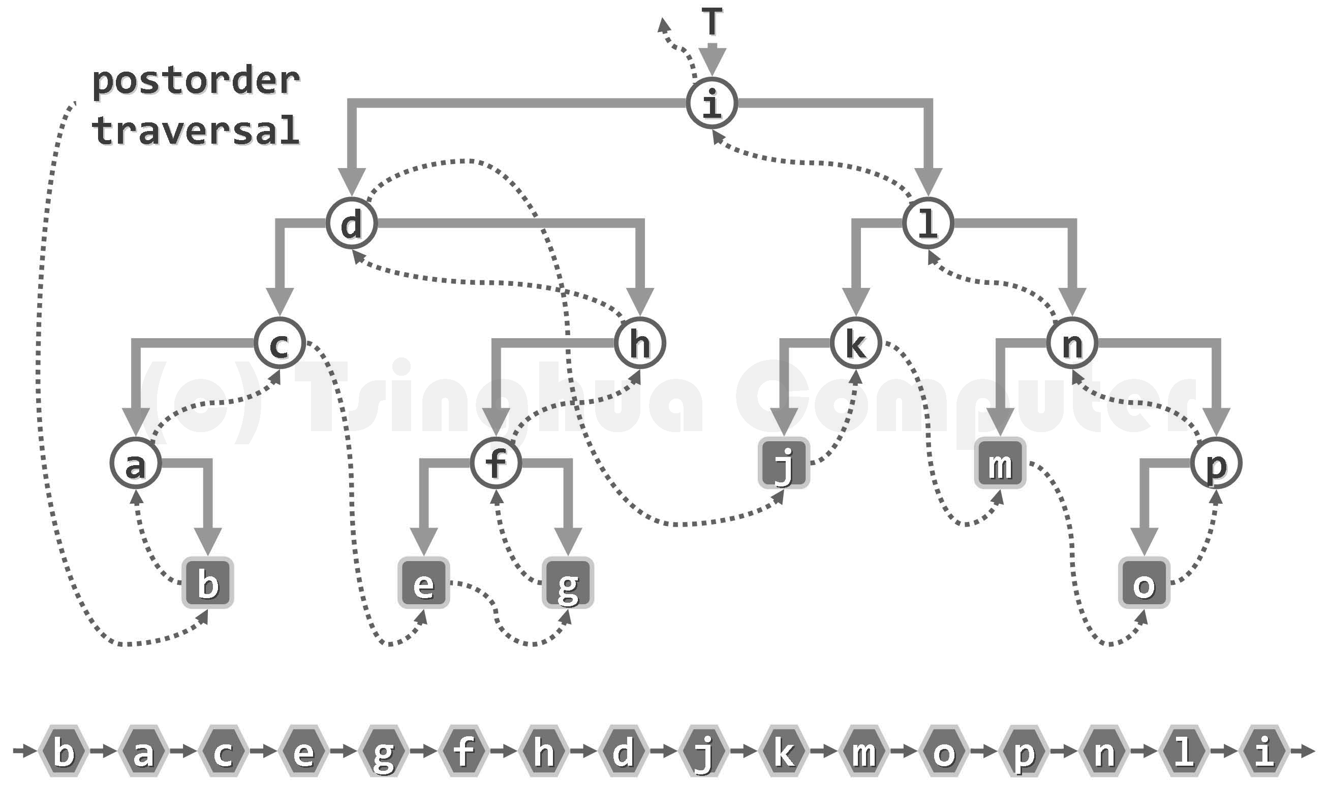
二叉树的遍历
# 树节点的定义
class Node(object):
def __init__(self, value=0):
self.value = value
self.left = None
self.right = None
递归序
def recurrence(root: Node):
if root is None:
return
recurrence(root.left)
recurrence(root.right)
先序遍历

def preorder(root: Node):
if root is None:
return
print(root.value)
preorder(root.left)
preorder(root.right)
中序遍历
(二叉树在垂直方向上的投影)
def midorder(root: Node):
if root is None:
return
midorder(root.left)
print(root.value)
midorder(root.right)
二叉树节点在水平方向上的投影顺序即为中序遍历的顺序。
后序遍历

def postorder(root: Node):
if root is None:
return
postorder(root.left)
postorder(root.right)
print(root.value)
层序遍历

void levelTrav(Node* root) { //层次遍历
if (root == NULL) return;
queue<Node*> Q;
Q.push(root);
while (Q.empty() == false) {
Node* t = Q.front();
Q.pop();
printf("%d ", t->data);
if (t->lchild != NULL) Q.push(t->lchild);
if (t->rchild != NULL) Q.push(t->rchild);
}
printf("\n");
}
求二叉树的高度
def getTreeHigh(root: Node) -> int:
if root is None:
return 0
left = getTreeHigh(root.left)
right = getTreeHigh(root.right)
return max(left, right) + 1
表达式树的输出与求值
表达式树的特征:叶节点是运算数,非叶节点一定是运算符
输入格式:
第一行给出节点的个数N,每个节点的编号为0 ~ N-1
接下来N行每行分别给出:
该节点的编号、该节点的操作数/操作符、该节点的左孩子编号、右孩子编号(-1表示NULL)
输出格式:
第一行输出该表达式树的中缀表达式,该用括号的地方需要用括号括起来。
第二行输出该表达式树的前缀表达式。
第二行输出该表达式树的后缀表达式。
第四行输出该表达式树的计算结果,保留两位小数。
样例输入:
11
0 - 1 2
1 + 3 4
2 / 5 6
3 4 -1 -1
4 * 7 8
5 6 -1 -1
6 3 -1 -1
7 1 -1 -1
8 - 9 10
9 5 -1 -1
10 2 -1 -1
样例输出:
(4+(1*(5-2)))-(6/3)
- + 4 * 1 - 5 2 / 6 3
4 1 5 2 - * + 6 3 / -
5.00
完整代码:
#include <iostream>
using namespace std;
struct Node {
char data;
Node *lchild, *rchild;
};
void preOrder(Node* root) { //前缀表达式
if (root == NULL) return;
printf("%c ", root->data);
preOrder(root->lchild);
preOrder(root->rchild);
}
void postOrder(Node* root) { //后缀表达式
if (root == NULL) return;
postOrder(root->lchild);
postOrder(root->rchild);
printf("%c ", root->data);
}
void inOrder(Node* root, int layer) { //中缀表达式
if (root == NULL) return;
if (root->lchild == NULL && root->rchild == NULL) {
//叶结点是操作数,直接输出,不加括号
printf("%c", root->data);
} else {
//非叶节点是操作符,需加括号(第0层根节点除外)
if (layer > 0) printf("(");
inOrder(root->lchild, layer + 1);
printf("%c", root->data);
inOrder(root->rchild, layer + 1);
if (layer > 0) printf(")");
}
}
double calc(double a, double b, char op) {
switch (op) {
case '+': return a + b;
case '-': return a - b;
case '*': return a * b;
case '/': return a / b;
}
}
double calculateExprTree(Node* root) {
if (root == NULL) return 0;
if (root->lchild == NULL && root->rchild == NULL) {
//叶节点,节点存放的是 操作数
return root->data - '0';
}
//非叶结点,节点存放的是 操作符
double a = calculateExprTree(root->lchild);
double b = calculateExprTree(root->rchild);
return calc(a, b, root->data);
}
int main() {
int N;
scanf("%d\n", &N);
Node* nodes = new Node[N];
for (int i = 0; i < N; i++) {
int index;
char data;
int l, r;
scanf("%d %c %d %d", &index, &data, &l, &r);
nodes[index].data = data;
nodes[index].lchild = (l != -1 ? &nodes[l] : NULL);
nodes[index].rchild = (r != -1 ? &nodes[r] : NULL);
}
Node* root = &nodes[0];
inOrder(root, 0);
printf("\n");
preOrder(root);
printf("\n");
postOrder(root);
printf("\n");
double ans = calculateExprTree(root);
printf("%.2f\n", ans);
return 0;
}
enum Operator { Add, Subtract, Multiply, Divide };
struct Node {
double num;
Operator op;
int type; //0-运算数,1-二元运算符
Node *lchild, *rchild;
};
求某节点到根节点的路径
对于如下二叉树,节点7位于第4层,其到跟节点的路径为1 2 5 7
求某节点所在层数
先把问题简化一下,求二叉树指定节点所在层数(假设根节点的层数为1)
为了记录当前访问节点的层号,对于层号,可以采用以下两种方式:
- 使用全局变量
int layer = 0;
bool flag1 = false; //flag标记可用于提前快速结束递归的执行
void getNodeLayer(Node* root, int x) {
if (root == NULL) return;
if (flag1) return;
layer++;
if (root->data == x) {
printf("%d\n", layer);
flag1 = true;
return;
}
getNodeLayer(root->lchild, x);
getNodeLayer(root->rchild, x);
layer--;
}
int main(){
//......
getNodeLayer(root, 7);
}
- 使用函数传参(值传递)
bool flag1 = false; //flag标记可用于提前快速结束递归的执行
void getNodeLayer(Node* root, int x, int layer) {
if (root == NULL) return;
if (flag1) return;
if (root->data == x) {
printf("%d\n", layer);
flag1 = true;
return;
}
getNodeLayer(root->lchild, x, layer + 1);
getNodeLayer(root->rchild, x, layer + 1);
}
int main(){
//......
getNodeLayer(root, 7, 1);
}
- 使用函数传参(传指针/引用)
bool flag1 = false; //flag标记可用于提前快速结束递归的执行
void getNodeLayer(Node* root, int x, int &layer) {
if (root == NULL) return;
if (flag1) return;
layer++;
if (root->data == x) {
printf("%d\n", layer);
flag1 = true;
return;
}
getNodeLayer(root->lchild, x, layer);
getNodeLayer(root->rchild, x, layer);
layer--;
}
int main() {
//.......
int layer = 0;
getNodeLayer(root, 7, layer);
}
- 将递归函数封装
void getNodeLayer(Node* root, int x, int &layer, int &ans, bool &flag) {
if (root == NULL) return;
if (flag) return;
layer++;
if (root->data == x) {
ans = layer;
flag = true;
return;
}
getNodeLayer(root->lchild, x, layer, ans, flag);
getNodeLayer(root->rchild, x, layer, ans, flag);
layer--;
}
int getNodeLayer(Node* root, int x) {
int ans;
int layer = 0;
bool flag = false;
getNodeLayer(root, x, layer, ans, flag);
return ans;
}
求节点路径

- 使用全局数组
vector<int> path;
bool flag2 = false;
void getNodePath(Node* root, int x) {
if (root == NULL) return;
if (flag2) return;
path.push_back(root->data);
if (root->data == x) {
for (int x : path) { //输出栈的内容
printf("%d ", x);
}
flag2 = true;
return;
}
getNodePath(root->lchild, x);
getNodePath(root->rchild, x);
path.pop_back();
}
vector<int> vec {1,2,3,4,5,6,7,8,9,10};
for (int i = 0; i < vec.size(); i++){
printf("%d ", vec[i]);
}
//C++11特性:范围的For循环(range-based-for)
for (int x : vec) { //这样写对于容器内的每个元素是只读的
printf("%d ", x);
}
- 使用函数传参(传指针/引用)
bool flag = false;
void getNodePath(Node* root, int x, vector<int> &path) {
if (root == NULL) return;
if (flag) return;
path.push_back(root->data);
if (root->data == x) {
for (int x : path) { //输出栈path的内容
printf("%d ", x);
}
flag = true;
return;
}
getNodePath(root->lchild, x, path);
getNodePath(root->rchild, x, path);
path.pop_back();
}
int main() {
//......
int x = 7;
vector<int> path;
getNodePath(root, x, path);
}
- 使用函数传参(值传递)
不推荐,每次递归调用时,都会对path数组进行复制,时间和空间效率都很低
bool flag = false;
void getNodePath(Node* root, int x, vector<int> path) {
if (root == NULL) return;
if (flag) return;
path.push_back(root->data);
if (root->data == x) {
for (int x : path) { //输出栈path的内容
printf("%d ", x);
}
flag = true;
return;
}
getNodePath(root->lchild, x, path);
getNodePath(root->rchild, x, path);
//注意这里没有path.pop_back()
}
int main() {
//......
int x = 7;
vector<int> path;
getNodePath(root, x, path);
}
完整代码
对于如下二叉树,节点7位于第4层,其到跟节点的路径为1 2 5 7

#include <iostream>
#include <vector>
using namespace std;
struct Node {
int data;
Node *lchild, *rchild;
Node(int x = 0) { data = x; lchild = rchild = NULL; }
void setChildNode(Node* l, Node* r) {
lchild = l;
rchild = r;
}
};
int layer = 0;
bool flag1 = false; //flag标记可用于提前快速结束递归的执行
void getNodeLayer(Node* root, int x) {
if (root == NULL) return;
if (flag1) return;
layer++;
if (root->data == x) {
printf("%d\n", layer);
flag1 = true;
return;
}
getNodeLayer(root->lchild, x);
getNodeLayer(root->rchild, x);
layer--;
}
vector<int> path;
bool flag2 = false;
void getNodePath(Node* root, int x) {
if (root == NULL) return;
if (flag2) return;
path.push_back(root->data);
if (root->data == x) {
for (int x : path) { //输出栈path的内容
printf("%d ", x);
}
flag2 = true;
return;
}
getNodePath(root->lchild, x);
getNodePath(root->rchild, x);
path.pop_back();
}
int main() {
Node* root = new Node(1);
Node* node_2 = new Node(2);
Node* node_3 = new Node(3);
Node* node_4 = new Node(4);
Node* node_5 = new Node(5);
Node* node_6 = new Node(6);
Node* node_7 = new Node(7);
Node* node_8 = new Node(8);
root->setChildNode(node_2, node_3);
node_2->setChildNode(node_4, node_5);
node_3->setChildNode(NULL, node_6);
node_5->setChildNode(node_7, NULL);
node_7->setChildNode(NULL, node_8);
int x = 7;
getNodeLayer(root, x);
getNodePath(root, x);
printf("\n");
return 0;
}
普通树的遍历

#include <iostream>
#include <vector>
#include <queue>
#include <initializer_list>
using namespace std;
struct Node {
int data;
vector<Node*> child;
Node(int x = 0) { data = x; }
void setChildNode(initializer_list<Node*> il) {
//C++11特性:initializer_list
for (Node* x : il) {
child.push_back(x);
}
}
};
void preOrder(Node* root) {
if (root == NULL) return;
printf("%d ", root->data);
for (Node* x : root->child) {
preOrder(x);
}
}
void postOrder(Node* root) {
if (root == NULL) return;
for (Node* x : root->child) {
postOrder(x);
}
printf("%d ", root->data);
}
void levelOrder(Node* root) {
if (root == NULL) return;
queue<Node*> Q;
Q.push(root);
while (Q.empty() == false) {
Node* t = Q.front(); Q.pop();
printf("%d ", t->data);
for (Node* x : t->child) {
Q.push(x);
}
}
printf("\n");
}
int main() {
Node* root = new Node(1);
Node* node_2 = new Node(2);
Node* node_3 = new Node(3);
Node* node_4 = new Node(4);
Node* node_5 = new Node(5);
Node* node_6 = new Node(6);
Node* node_7 = new Node(7);
Node* node_8 = new Node(8);
Node* node_9 = new Node(9);
Node* node_10 = new Node(10);
root->setChildNode({ node_2,node_3,node_4 });
node_2->setChildNode({ node_5,node_6,node_7 });
node_4->setChildNode({ node_8 });
node_8->setChildNode({ node_9,node_10 });
preOrder(root);
printf("\n");
postOrder(root);
printf("\n");
levelOrder(root);
return 0;
}
递归调用原理
函数调用栈实例:主函数main()调用funcA(),funcA()调用funcB(),funcB()再自我调用(递归)
函数调用栈的基本单位是帧(frame)。每次函数调用时,都会相应地创建一帧, 记录该函数实例在二进制程序中的返回地址(return address),以及局部变量、传入参数等, 并将该帧压入调用栈。若在该函数返回之前又发生新的调用,则同样地要将与新函数对应的一帧压入栈中,成为新的栈顶。函数一旦运行完毕,对应的帧随即弹出,运行控制权将被交还给该函 数的上层调用函数,并按照该帧中记录的返回地址确定在二进制程序中继续执行的位置。
在任一时刻,调用栈中的各帧,依次对应于那些尚未返回的调用实例,亦即当时的活跃函数实例(active function instance)。特别地,位于栈底的那帧必然对应于入口主函数main(), 若它从调用栈中弹出,则意味着整个程序的运行结束,此后控制权将交还给操作系统。
此外,调用栈中各帧还需存放其它内容。比如,因各帧规模不一,它们还需记录前一帧的起始地址,以保证其出栈之后前一帧能正确地恢复。
作为函数调用的特殊形式,递归也可借助上述调用栈得以实现。比如在上图中,对应于 funcB()的自我调用,也会新压入一帧。可见,同一函数可能同时拥有多个实例,并在调用栈中 各自占有一帧。这些帧的结构完全相同,但其中同名的参数或变量,都是独立的副本。比如在 funcB()的两个实例中,入口参数m和内部变量i各有一个副本。
DFS/回溯算法
如果某问题的解可以由多个步骤得到,而每个步骤都有若干种选择(这些候选方案集可能会依赖之前做出的选择),且可以用递归枚举法实现,则它的工作方式可以用解答树来描述。
全排列问题
输出数字1~N所能组成的所有全排列
#include <iostream>
#include <vector>
using namespace std;
const int MAXN = 10;
bool isUsed[MAXN];
vector<int> num;
int N;
void DFS(int index) {
if (index >= N) {
for (int x : num) {
printf("%d ", x);
}
printf("\n");
return;
}
for (int i = 1; i <= N; i++) {
if (isUsed[i]) continue;
num.push_back(i);
isUsed[i] = true;
DFS(index + 1);
num.pop_back();
isUsed[i] = false;
}
}
int main() {
N = 3;
DFS(0); //从第0层开始搜索
return 0;
}
def DFS(index: int):
if len(path) == n:
res.append(path[:])
return
for i in range(n):
if isused[i] is False:
isused[i] = True
path.append(nums[i])
DFS(index + 1)
path.pop()
isused[i] = False
nums = [1, 2, 3]
n = len(nums)
isused = [False for _ in range(n)]
path = []
res = []
DFS(0)
print(res)
素数环问题
将1到n这n个整数围成一个圆环,若其中任意2个相邻的数字相加,结果均为素数,那么这个环就成为素数环。
例如数字1-6所组成的一个素数环,用数组表示是[1, 4, 3, 2, 5, 6](第一位固定为1)

#include <iostream>
#include <vector>
#include <algorithm>
using namespace std;
const int MAXN = 100;
bool isPrimeNum[MAXN];
vector<int> ans;
bool isUsed[MAXN];
int N;
void getPrimeTable() { //筛选法求质数
fill(isPrimeNum, isPrimeNum + MAXN, true); //先假设都是素数
isPrimeNum[0] = isPrimeNum[1] = false;
for (int i = 2; i < MAXN; i++) { //从2开始,因为2是最小的质素
if (isPrimeNum[i]) {
//把i的倍数全部设置成非质数
//比如i=2,则把4、6、9...设置成非质数
//若i=3,则把6、9、12、15...设置成非质数
for (int j = 2 * i; j < MAXN; j += i) { //注意该for循环的写法,容易出错
isPrimeNum[j] = false;
}
}
}
}
void DFS(int index) {
if (index >= N) {
int temp = ans[0] + ans[index - 1]; //判断第一个数和最后一个数相加后是否是质数
if (isPrimeNum[temp] == false) return;
for (int x : ans) {
printf("%d ", x);
}
printf("\n");
return;
}
for (int i = 2; i <= N; i++) {
if (isUsed[i]) continue;
int temp = ans[index - 1] + i;
if (isPrimeNum[temp] == false) {
continue; //剪枝
}
ans.push_back(i);
isUsed[i] = true;
DFS(index + 1);
ans.pop_back();
isUsed[i] = false;
}
}
int main() {
getPrimeTable();
N = 4;
ans.push_back(1); //素数环第一个数固定是1
DFS(1); //从第二个数开始搜索
return 0;
}
八皇后问题
八皇后问题是一个以国际象棋为背景的问题:如何能够在8×8的国际象棋棋盘上放置八个皇后,使得任何一个皇后都无法直接吃掉其他的皇后?为了达到此目的,任两个皇后都不能处于同一条横行、纵行或斜线上。八皇后问题可以推广为更一般的n皇后摆放问题:这时棋盘的大小变为n×n,而皇后个数也变成n。当且仅当n = 1或n ≥ 4时问题有解。

#include <cstdio>
#include <algorithm>
using namespace std;
const int MAXN = 100;
int solution[MAXN]; //solution[i]=j 表示棋盘的第i行第j列放有皇后
int cnt;
int N;
char chessboard[MAXN][MAXN];
void printSolution() {
fill(chessboard[0], chessboard[0] + MAXN * MAXN, '*');
for (int i = 0; i < N; i++) {
int j = solution[i];
chessboard[i][j] = '#';
chessboard[i][N] = '\0';
}
printf("solution #%d\n", cnt);
for (int i = 0; i < N; i++) {
printf("%s\n", chessboard[i]);
}
printf("\n");
}
bool judge(int row, int col) {
for (int i = 0; i < row; i++) {
int j = solution[i];
if (j == col || row + col == i + j || row - col == i - j)
return false;
}
return true;
}
void DFS(int row) {
if (row >= N) {
cnt++;
printSolution();
return;
}
for (int col = 0; col < N; col++) {
if (judge(row, col) == false) continue;
solution[row] = col;
DFS(row + 1);
}
}
int main() {
N = 8;
DFS(0);
printf("N = %d, total solutions: %d\n", N, cnt);
return 0;
}
# N皇后问题
def isvalid(record, row, col): # 判断是否摆放是否合法
for k in range(row):
if col == record[k] or abs(record[k] - col) == abs(row - k):
return False
return True
def dfsqueen(row: int, record: list, n: int): # 递归每种摆法
if row == n:
printres(record)
return 1
res = 0
for col in range(n):
if isvalid(record, row, col):
record[row] = col
res += dfsqueen(row + 1, record, n)
return res
def printres(record): # 每种结果放到ans
temp = []
for i in range(len(record)):
tempstr = ''
for j in range(len(record)):
if j == record[i]:
tempstr += 'Q'
else:
tempstr += '.'
temp.append(tempstr)
ans.append(temp[:])
ans = []
n = 8
path = ['.'] * n
record = [0] * n
print(dfsqueen(0, record, n))
print(ans)
