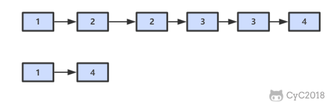
题目描述

解题描述
public ListNode deleteDuplication(ListNode pHead) {if (pHead == null || pHead.next == null)return pHead;ListNode next = pHead.next;if (pHead.val == next.val) {while (next != null && pHead.val == next.val)next = next.next;return deleteDuplication(next);} else {pHead.next = deleteDuplication(pHead.next);return pHead;}}
