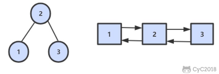
题目描述
输入一棵二叉搜索树,将该二叉搜索树转换成一个排序的双向链表。要求不能创建任何新的结点,只能调整树中结点指针的指向。

解题思路
private TreeNode pre = null;private TreeNode head = null;public TreeNode Convert(TreeNode root) {inOrder(root);return head;}private void inOrder(TreeNode node) {if (node == null)return;inOrder(node.left);node.left = pre;if (pre != null)pre.right = node;pre = node;if (head == null)head = node;inOrder(node.right);}
